THE AUDITORY MODELING TOOLBOX

This documentation applies to the most recent AMT version (1.6.0).

View the code

Go to function

demo_verhulst2018
Demo of the cochlear transmission-line model including brainstem

Description:

This demonstration computes responses to a click of single polarity at various stages of the auditory system. The following data are shown:

  • Characteristic frequencies of equidistant points along the cochlea.
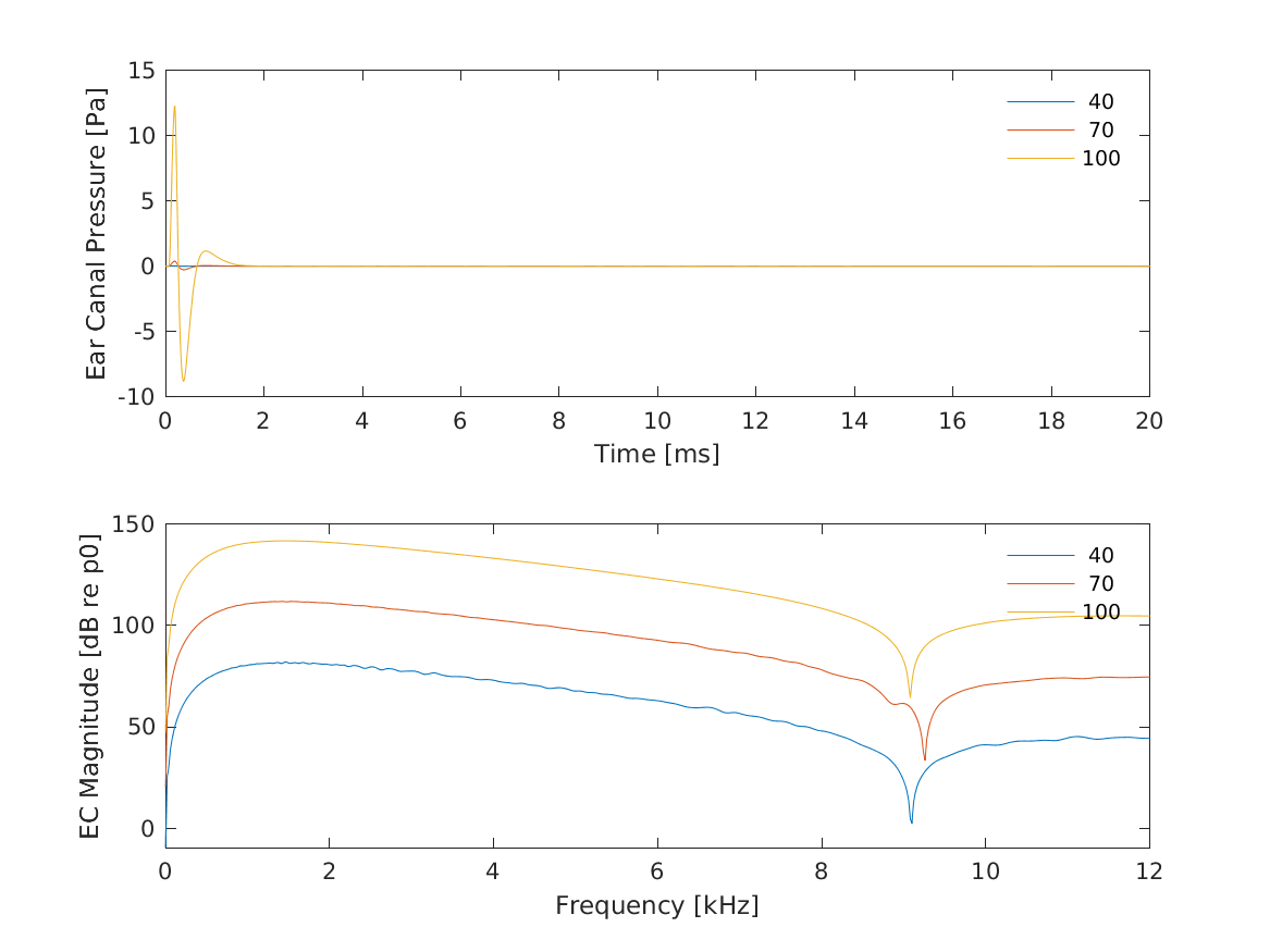
  • Ear-canal pressure signals that can be used to simulate otoacoustic emissions (see also demo_verhulst2012).
  • Simulated basilar membrane velocity (\(v_{bm}\) returned as v) and inner-hair-cell voltage (\(V_{ihc}\) returned as vihc).
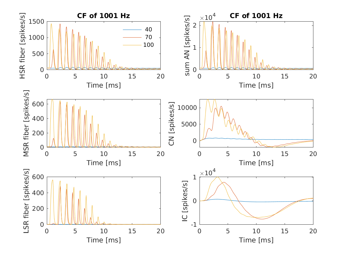
  • Simulated unit responses of HSR, MSR, LSR neurons, the auditory nerve, cochlear nucleus, and inferior colliculus.
  • Population responses as the wave I, III, and V, as well as the envelope following response (EFR).

The current demo is based on the scripts ExampleSimulation.m and ExampleAnalysis_function.m from https://github.com/HearingTechnology/Verhulstetal2018Model

License:

This model verhulst2018 is licensed under the UGent Academic License. Further usage details are provided in the UGent Academic License which can be found in the AMT directory licences and at <https://raw.githubusercontent.com/HearingTechnology/Verhulstetal2018Model/master/license.txt>.

demo_verhulst2018_1.png

Characteristic frequencies of equidistant points along the cochlea.

demo_verhulst2018_2.png

Ear-canal pressure signals that can be used to simulate otoacoustic emissions.

demo_verhulst2018_3.png

Modeled basilar-membrane velocity (\(v_{bm}\), top row) and the inner-hair-cell voltage (\(V_{ihc}\), bottom row).

demo_verhulst2018_4.png

Modeled responses of the HSR, MSR, and LSR neurons (left column) as well as the auditory nerve (AN), cochlear nucleus (CN), and inferior colliculus (IC, right column).

demo_verhulst2018_5.png

Modeled population responses: Waves I, III, and V, as well as the envelope following response (EFR).