THE AUDITORY MODELING TOOLBOX

This documentation page applies to an outdated AMT version (1.5.0). Click here for the most recent page.

View the code

Go to function

DEMO_VERHULST2018 - Demo of the auditory brainstem model described by Verhulst et al (2018)

Description:

This script computes the responses to one click of single polarity.

The following figures are obtained:

  • Characteristic frequencies of equidistant points along the cochlea.
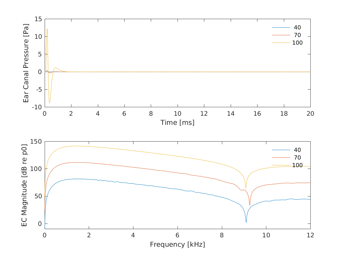
  • Ear-canal pressure signals that can be used to simulate otoacoustic emissions (see also demo_verhulst2012.m).
  • Simulated basilar membrane velocity (v) or inner-hair-cell voltage (vihc).
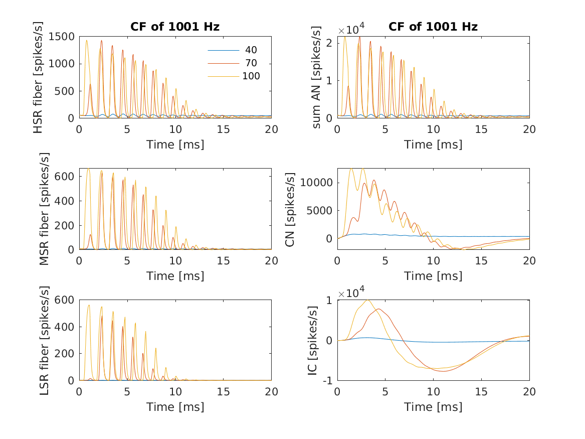
  • Simulated unit responses to HSR, MSR, LSR neurons, auditory nerve responses, and cochlear nucleus (CN) and inferior colliculus (IC) neurons.
  • Population responses waave I, III, V, and envelope following responses.

The current demo is based on the scripts ExampleSimulation.m and ExampleAnalysis_function.m from https://github.com/HearingTechnology/Verhulstetal2018Model

License:

This model is licensed under the UGent Academic License. Further usage details are provided in the UGent Academic License which can be found in the AMT directory "licences" and at <https://raw.githubusercontent.com/HearingTechnology/Verhulstetal2018Model/master/license.txt>.%

demo_verhulst2018_1.png

Characteristic frequencies of equidistant points along the cochlea.

demo_verhulst2018_2.png

Ear-canal pressure signals that can be used to simulate otoacoustic emissions.

demo_verhulst2018_3.png

Simulated basilar membrane velocity (v) or inner-hair-cell voltage (vihc).

demo_verhulst2018_4.png

Simulated unit responses to HSR, MSR, LSR neurons, auditory nerve responses, and cochlear nucleus (CN) and inferior colliculus (IC) neurons.

demo_verhulst2018_5.png

Population responses waave I, III, V, and envelope following responses.