THE AUDITORY MODELING TOOLBOX

This documentation applies to the most recent AMT version (1.6.0).

View the code

Go to function

DATA_MAJDAK2013
Listener-specific localization responses

Usage:

data = data_majdak2013();
data = data_majdak2013('control');
data = data_majdak2013('target');
data_majdak2013('fig6')
pretest = data_majdak2013('B');
pretest = data_majdak2013('LP');
pretest = data_majdak2013('W');

Input parameters:

B Return the data from the pretest for the broadband condition
LP Return the data from the pretest for the low-passed condition
W Return the data from the pretest for the warped condition
fig6 Plot the Figure 6
all Default. Return all data of all subjects
control Return all data of the control group (trained on the low-passed condition)
target Return all data series of the target group (trained on the warped condition)

Output parameters:

pretest

Structure with the data from the pretest only. It contains the following fields:

  • id: Subject ID.
  • mtx: Item list with trials and angles. Each row contains information about a single trial. The columnn describe the target and response angles in the format of the item list used in localizationerror.
data

Structure with the data from the pretest, training, and posttest. It contains the following fields:

  • subject_str: Listener ID (string).
  • pos: Item list with trials and angles. Each row contains information about a single trial. The columnn describe the target and response angles in the format of the item list used in localizationerror.
  • session: Session index (as an integer number).
  • session_str: Session name (as a string).
  • trial: Trial index within each session.
  • is_control: Flag describing the control group (1) or target group (0).

Description:

pretest = data_majdak2013(..) returns listener-specific responses from Majdak et al. (2013) obtained from a localization pretest.

data = data_majdak2013(..) returns listener-specific responses from Majdak et al. (2013) obtained from a localization pretest, training, and posttest.

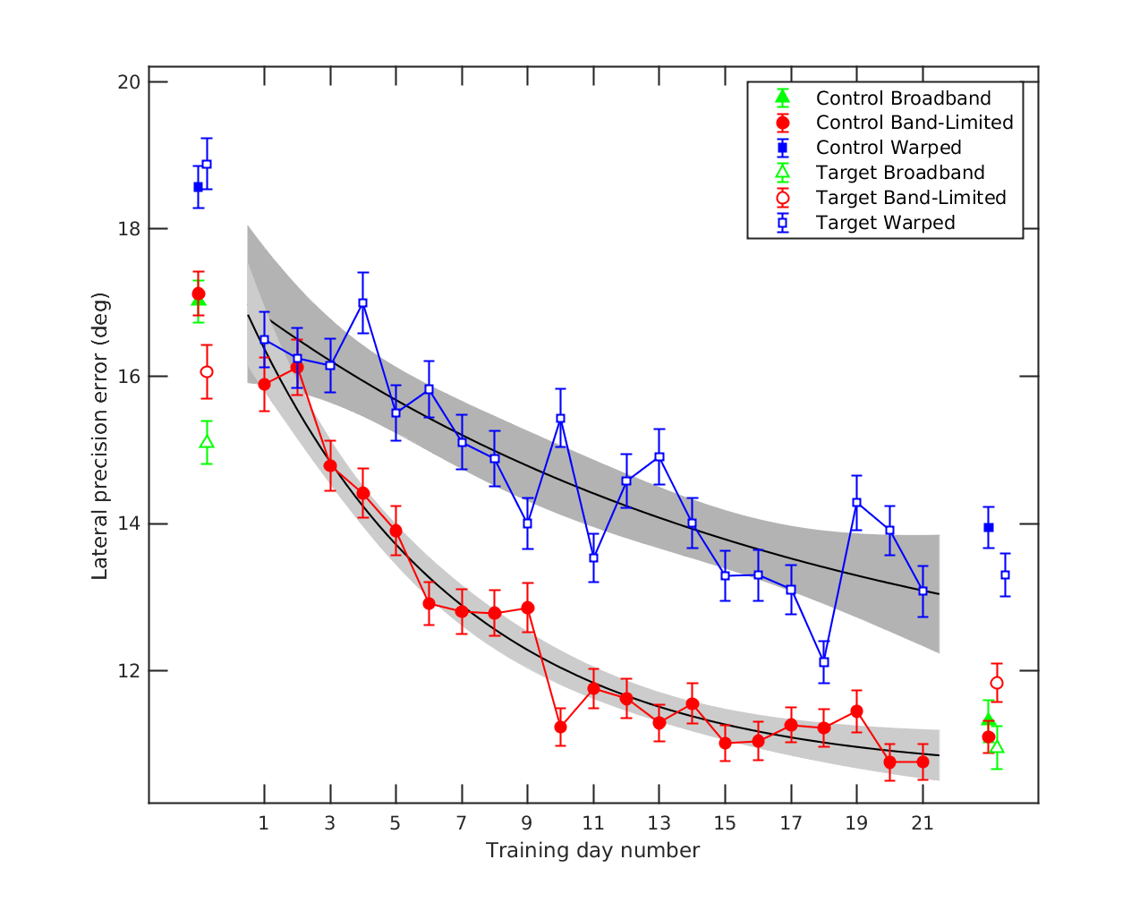
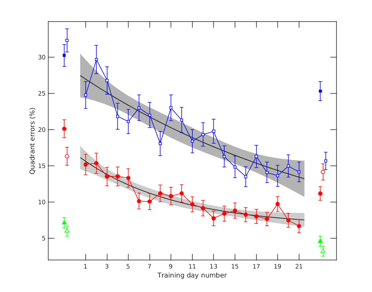
To display Figure 6 from Majdak et al. (2013) use :

data_majdak2013('fig6');
data_majdak2013_1_1.png
data_majdak2013_1_2.png
data_majdak2013_1_3.png

References:

P. Majdak, T. Walder, and B. Laback. Effect of long-term training on sound localization performance with spectrally warped and band-limited head-related transfer functions. The Journal of the Acoustical Society of America, 134:2148--2159, 2013.