THE AUDITORY MODELING TOOLBOX

This documentation applies to the most recent AMT version (1.6.0).

View the code

Go to function

DATA_LINDEMANN1986
Data points from the Lindemann (1986a) paper

Usage:

data = data_lindemann1986_data(flag)

Output parameters:

data the data points from the given figure as a matrix with x and y data or (in cases where no clear x values were given such as T/2) as a vector containing only the y data

Description:

data_lindemann1986(flag) returns data points from the Lindemann 1986 paper. The flag may be one of:

'no_plot' Don't plot, only return data. This is the default.
'plot' Plot the data.
'fig11_yost' Return data from Fig. 11. with condition "yost". The data is ILD vs. lateral displacement (10 is max Displacement).
'fig11_sayers' Return data from Fig. 11. with condition "sayers". The data is ILD vs. lateral displacement (10 is max displacement).
'fig12_400' Return data from Fig. 12. for the 400 Hz pure tone. The data is ILD vs. ITD.
'fig12_600' Return data from Fig. 12. for the 600 Hz pure tone. The data is ILD vs. ITD.
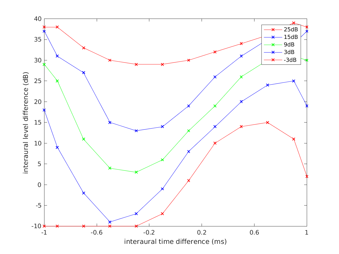
'fig13' Return data from Fig. 13. The output data format is x-axis, -3dB, 3dB, 9dB, 15dB, 25dB. The data is ILD vs. ITD.
'fig16' Return data from Fig. 16. The data is ILD vs. ITD.
'fig17' Return data from Fig. 17. The output data format is x-axis, 0ms, 0.09ms, 0.18ms, 0.27ms. The data is ITD vs. ILD.

If no flag is given, the function will print the list of valid flags.

Examples:

Figure 11 with the "yost" condition can be displayed using :

data_lindemann1986('fig11_yost','plot');
data_lindemann1986_1_1.png

Figure 11 with the "sayers" condition can be displayed using :

data_lindemann1986('fig11_sayers','plot');
data_lindemann1986_2_1.png

Figure 12 for a 400 Hz pure tone can be displayed using :

data_lindemann1986('fig12_400','plot');
data_lindemann1986_3_1.png

Figure 12 for a 600 Hz pure tone can be displayed using :

data_lindemann1986('fig12_600','plot');
data_lindemann1986_4_1.png

Figure 13 can be displayed by using :

data_lindemann1986('fig13','plot');
data_lindemann1986_5_1.png

Figure 16 can be displayed using :

data_lindemann1986('fig16','plot');
data_lindemann1986_6_1.png

Figure 17 can be displayed using :

data_lindemann1986('fig17','plot');
data_lindemann1986_7_1.png

References:

W. Lindemann. Extension of a binaural cross-correlation model by contralateral inhibition. I. Simulation of lateralization for stationary signals. The Journal of the Acoustical Society of America, 80:1608--1622, 1986.