THE AUDITORY MODELING TOOLBOX

This documentation page applies to an outdated AMT version (1.3.0). Click here for the most recent page.

View the code

Go to function

DATA_LOPEZPOVEDA2001 - Data from Lopez-Poveda & Meddis (2001)

Usage

data = data_lopezpoveda2001(flag)

Description

data_lopezpoveda2001(flag) returns data points from the paper by Lopez-Poveda and Meddis (2001).

The flag may be one of:

'no_plot' Don't plot, only return data. This is the default.
'plot' Plot the data.
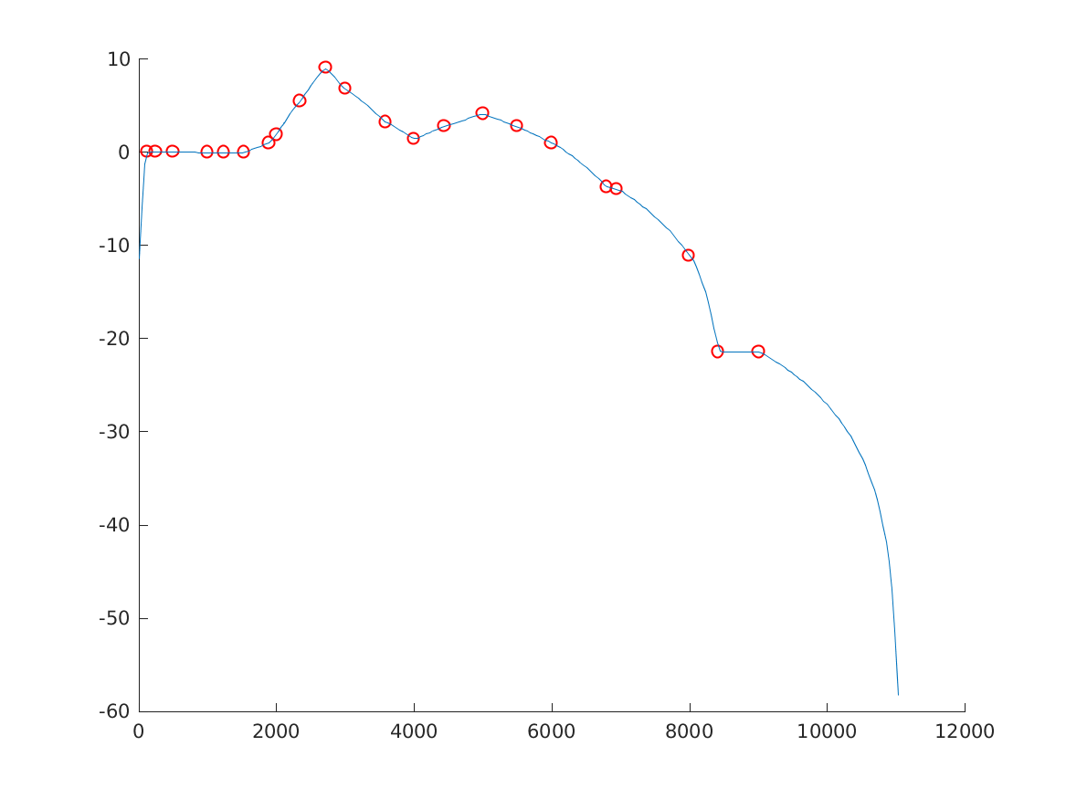
'fig2a' Data from Fig. 2(a), outer ear filter.
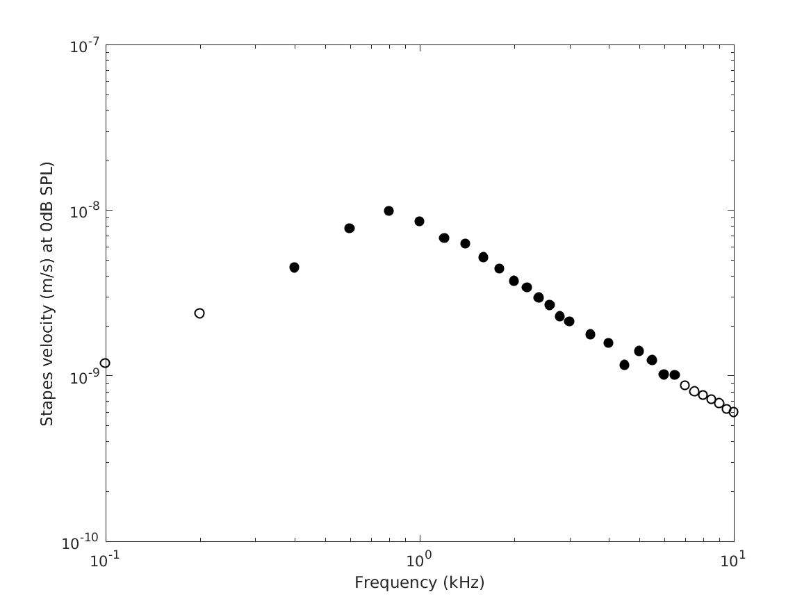
'fig2b' Data from Fig. 2(b), middle ear filter.

For Fig. 2b you can choose between:

'goode' Return the data points derived from Goode et al. (1994) This is the default.
'lopezpoveda' Return the data points just read from Fig. 2b of Lopez-Poveda and Meddis (2001)

Examples:

To display Figure 2a, use:

data_lopezpoveda2001('fig2a','plot');
data_lopezpoveda2001_1_1.png

To display Figure 2b, use:

data_lopezpoveda2001('fig2b','plot');
data_lopezpoveda2001_2_1.png

References:

E. Lopez-Poveda and R. Meddis. A human nonlinear cochlear filterbank. J. Acoust. Soc. Am., 110:3107--3118, 2001.