THE AUDITORY MODELING TOOLBOX

This documentation page applies to an outdated AMT version (1.1.0). Click here for the most recent page.

View the code

Go to function

EXP_CHEN2011 - exüeriments from Chen et al. 2011

Description

exp_chen2011(fig) reproduce Fig. no. fig from the Chen et al. 2011 paper.

The following flags can be specified;

'fig7' Reproduce Fig. 7, yields the excitation patterns
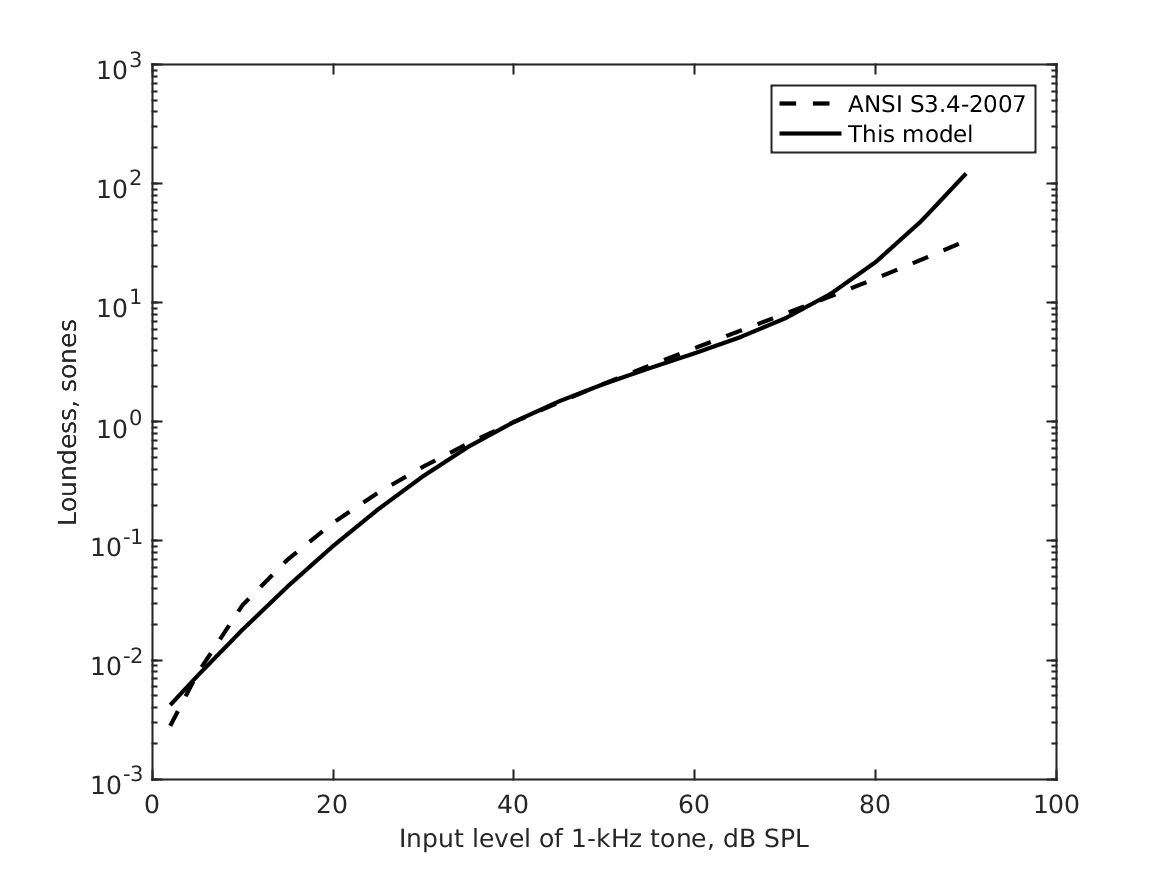
'fig9' Reproduce Fig. 9, contrasting loudness (sones) with input level (dBSPL)
'fig10' Reproduce Fig. 10, comparing the equal loudness contours from chen2011_loudness with the ISO 2006 standard
'fig11' Reproduce Fig. 11, displaying loudness as a function of bandwidth

Examples:

To display Fig. 7 use

exp_chen2011('fig7');
exp_chen2011_1_1.png

To display Fig. 9 use

exp_chen2011('fig9');
exp_chen2011_2_1.png

To display Fig. 10 use

exp_chen2011('fig10');
exp_chen2011_3_1.png

To display Fig. 11 use

exp_chen2011('fig11');
exp_chen2011_4_1.png

References:

Z. Chen, G. Hu, B. R. Glasberg, and C. Moore, Brian. A new model for calculating auditory excitation patterns and loudness for cases of cochlear hearing loss. J. Acoust. Soc. Am., 282(1), 2011. [ www: ]