THE AUDITORY MODELING TOOLBOX

This documentation page applies to an outdated AMT version (1.1.0). Click here for the most recent page.

View the code

Go to function

EXP_BAUMGARTNER2021 - - Simulations of Baumgartner and Majdak (2021)

Usage

data = exp_baumgartner2021(flag)

Description

exp_baumgartner2021(flag) reproduces figures of the study from Baumgartner and Majdak (2021).

The following flags can be specified

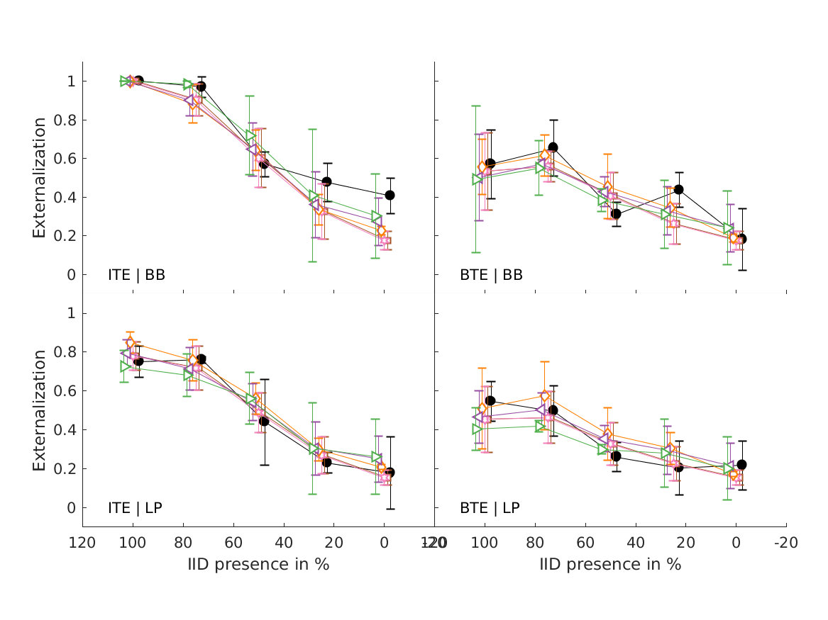
fig2 Externalization ratings: actual data from psychoacoustic
experiments (closed circles) and simulations of the single-cue models (open symbols). Effects of low-frequency modifications tested by Hartmann and Wittenberg (1996). Exp. I: IID set to zero (bilateral average magnitude); actual data from their Fig.7, average from N=2. Exp. II: ipsilateral magnitudes flattened (IID compensated by contralateral magnitudes); actual data from their Fig.8, average from N=4. Simulated results for various cues, average from N=21. Exp.III: effect of spectral smoothing of low-frequency sounds presented from various azimuths (left: 0; right: 50); actual data represents direct-sound condition from Hassager et al. (2016), average from N=7. Simulated N=21. Exp.IV: effect of spectral smoothing in high frequencies as a function of spectral contrast (C=1: natural listener-specific spectral profile; C=0: flat spectra); actual data calculated from the paired-comparison data from Baumgartner et al. (2017), N=10 (actual and simulated). Exp.V: effects of stimulus bandwidth and microphone casing for various mixes between simulations based on listener-specific BRIRs (100%) and time-delay stereophony (0%); actual data from Boyd et al. (2012), N=3 (actual and simulated). ITE: in-the-ear casing; BTE: behind-the-ear casing; BB: broadband stimulus; LP: low-pass filtered at 6.5kHz; Error bars denote standard errors of the mean.
fig3 Optimization and performance of single-cue models.
Cue-specific sensitivities used as optimization parameters. Higher values denote steeper mapping functions. Simulation errors as the RMS difference between the actual and simulated externalization ratings. Per experiment, the smallest error indicates the most informative cue.
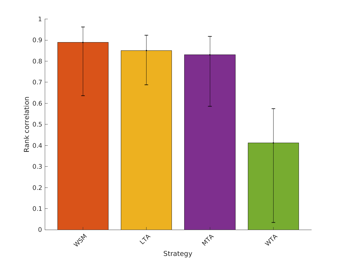
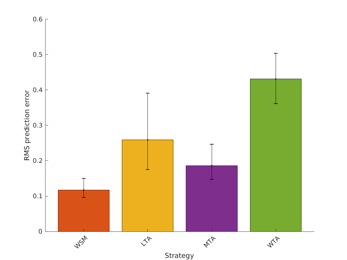
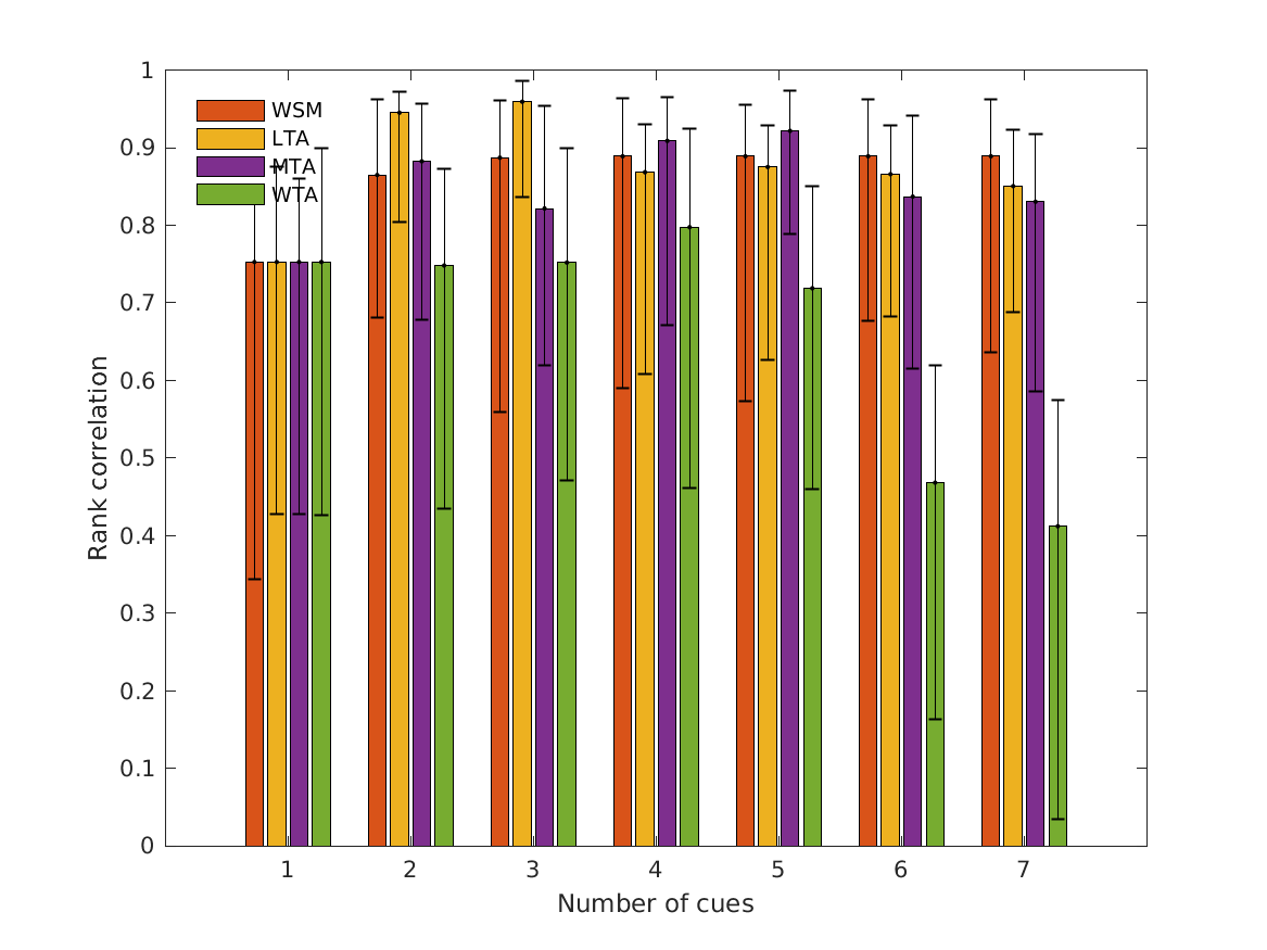
fig4 Simulation errors for different decision strategies and cue
combinations show that static combination (WSM) based on monaural and interaural spectral shape cues (MSS, ISS) performs best. RMS simulation errors for different strategies and pooled experimental data, N=54. Error bars denote 95% confidence intervals estimated via bootstrapping (1000 resamples). WSM: weighted-sum model; L/M/WTA: looser/median/winner takes all. Individual cue contributions. Cue abbreviations defined in Tab.1. Top: Simulation errors for pairwise combinations of considered cues. Dashed line shows the border of significant difference to the best pair (MSS and ISS). Bottom: Considered cue pairs with their respective weights (encoded by brightness).
hartmann1996 models experiments from Hartmann & Wittenberg (1996; Fig.7-8)
1st panel: Synthesis of zero-ILD signals. Only the harmonics from 1 to nprime had zero interaural level difference; harmonics above nprime retained the amplitudes of the baseline synthesis. Externalization scores as a function of the boundary harmonic number nprime. Fundamental frequency of 125 Hz. 2nd panel: Synthesis of signals to test the ISLD hypothesis. Harmonics at and below the boundary retained only the interaural spectral level differences of the baseline synthesis. Higher harmonics retained left and right baseline harmonic levels. Externalization scores as a function of the boundary frequency.
hassager2016 models experiments from Hassager et al. (2016; Fig.6).
The mean of the seven listeners perceived sound source location (black) as a function of the bandwidth factor and the corresponding model predictions (colored). The model predictions have been shifted slightly to the right for a better visual interpretation. The error bars are one standard error of the mean.
baumgartner2017 models experiments from Baumgartner et al. (2017).
Effect of HRTF spectral contrast manipulations on sound externalization. Externalization scores were derived from paired comparisons via Bradley-Terry-Luce modeling.
boyd2012 models experiments from Boyd et al. (2012; Fig.1, top).
Average externalization ratings of 1 talker for NH participants against mix point as a function of microphone position (ITE/BTE) and frequency response (BB/LP). The reference condition (ref) is the same as ITE/BB. Error bars show SEM.

Requirements:

  1. SOFA API v0.4.3 or higher from http://sourceforge.net/projects/sofacoustics for Matlab (in e.g. thirdparty/SOFA)
  2. Data in hrtf/baumgartner2017
  3. Statistics Toolbox for Matlab (for some of the figures)

Examples:

To display indivdual predictions for all experiments use

exp_baumgartner2021('fig2');

This code produces the following output:

hartmann1996, Exp. 1
Showing modelling details for hartmann1996_exp1
                S_cue        Error       Weight                                          Description
              _________    _________    ________    ______________________________________________________________________________________

    MSS        0.073828     0.081818           0    'Monaural positive spectral gradients (c.f., Baumgartner et al., 2014)'
    ISS         0.88369     0.011274           0    'Interaural spectral shape (c.f., Hassager et al., 2016)'
    MSSD       0.021484     0.042295    0.012803    'Spectral SD of monaural positive spectral gradients (c.f., Baumgartner et al., 2014)'
    ISSD        0.62119     0.052943           0    'Spectral SD of interaural spectral differences (c.f., Georganti et al., 2013)'
    ITIT        0.79141    0.0035124     0.59117    'Interaural time-intensity trading (ITD vs. ILD)'
    IC        0.0083008    0.0047487     0.32259    'Interaural coherence (c.f., Hassager et al., 2017)'
    MI        0.0035156     0.012107    0.073434    'Monaural intensity difference (target - reference)'
    Oracle          NaN    0.0036647         NaN    'Weighted combination'


                        MSS          ISS          MSSD        ISSD          ITIT          IC            MI          Oracle
                     _________    __________    ________    _________    __________    _________    __________    __________

    Exp1_S_cue        0.073828       0.88369    0.021484      0.62119       0.79141    0.0083008     0.0035156           NaN
    Exp1_Error        0.081818      0.011274    0.042295     0.052943     0.0035124    0.0047487      0.012107     0.0036647
    Exp1_Weight              0             0    0.012803            0       0.59117      0.32259      0.073434           NaN
    Exp2_S_cue         0.12051    0.00019531    0.019629    0.0069336    0.00078125    0.0012695    4.8828e-05           NaN
    Exp2_Error       0.0019367      0.063476    0.010901     0.017217     0.0035481    0.0049122      0.046273    0.00029003
    Exp2_Weight       0.019309             0     0.34659     0.032649        0.4388      0.16266             0           NaN
    Exp3_S_cue          0.2293       0.33135     0.12402      0.15986       0.12969     0.035156    0.00026855           NaN
    Exp3_Error       0.0053458     0.0047244    0.088551     0.025814      0.044811      0.13813        0.1971     0.0045675
    Exp3_Weight        0.61553        0.0387           0      0.14921       0.19656            0             0           NaN
    Exp4_S_cue        0.087988        0.4207     0.39395      0.50117      0.023828     0.018164       0.10439           NaN
    Exp4_Error        0.036517      0.081148    0.036857     0.051565       0.13689     0.062149       0.12652      0.023824
    Exp4_Weight        0.50583             0     0.19539            0             0      0.29878             0           NaN
    Exp5_S_cue         0.18057       0.44687    0.054395      0.24404       0.54668      0.36709       0.13701           NaN
    Exp5_Error        0.042443      0.028343     0.10339     0.032469      0.040747     0.050289      0.082399      0.014622
    Exp5_Weight        0.24616       0.29003           0            0             0      0.31167       0.15214           NaN
    W. Avg. S_cue      0.13308       0.41274    0.049147      0.13803       0.39968     0.006618     0.0067398           NaN
    Mean Error        0.033612      0.037793    0.056398     0.036002      0.045902     0.052045       0.09288     0.0093937
    Mean Weight        0.27737      0.065746     0.11096     0.036372        0.2453      0.21914      0.045114           NaN

Re-run to calculate WSM
Showing cue contributions for hartmann1996_exp1
                                             MSS         ISS        MSSD      ISSD     ITIT        IC         MI       Error_Oracle    Error_WSM    Error_LTA    Error_MTA    Error_WTA    BIC_Oracle    BIC_WSM    BIC_LTA    BIC_MTA    BIC_WTA
                                          _________    _______    ________    ____    _______    _______    _______    ____________    _________    _________    _________    _________    __________    _______    _______    _______    _______

    MSS, ISS, MSSD, ISSD, ITIT, IC, MI            0          0    0.080388      0      0.1482    0.52158    0.24983    0.0051697       0.0051697     0.029587     0.03788     0.034267     -15.059       -15.059     -6.336    -5.1006    -5.6017
    MSS, ISS, ISSD, ITIT, IC, MI          0.0060495          0         NaN      0     0.19353    0.43769    0.36273    0.0051008       0.0051008     0.027277    0.013738     0.028535     -16.735       -16.735    -8.3519    -11.781    -8.1264
    MSS, ISS, ISSD, ITIT, IC                0.19658          0         NaN      0      0.1004    0.70301        NaN    0.0078322       0.0078322     0.047501    0.040286     0.052149       -16.2         -16.2    -7.1878    -8.0115     -6.721
    MSS, ISS, ISSD, ITIT                    0.46565          0         NaN      0     0.53435        NaN        NaN     0.017369        0.017369     0.007816    0.010933     0.028289     -13.828       -13.828     -17.82    -16.142    -11.389
    MSS, ISS, ISSD                          0.53066    0.46934         NaN      0         NaN        NaN        NaN     0.030606        0.030606    0.0091715    0.029054     0.044256     -12.604       -12.604     -18.63    -12.865    -10.761
    MSS, ISS                                0.53067    0.46933         NaN    NaN         NaN        NaN        NaN     0.030606        0.030606     0.011251    0.019495     0.026936     -14.214       -14.214    -19.218    -16.469    -14.853
    MSS                                           1        NaN         NaN    NaN         NaN        NaN        NaN     0.091699        0.091699     0.081818    0.081818     0.081818     -10.337       -10.337    -10.907    -10.907    -10.907

hartmann1996, Exp. 2
Showing modelling details for hartmann1996_exp2
                S_cue         Error        Weight                                          Description
              __________    __________    ________    ______________________________________________________________________________________

    MSS          0.12051     0.0019367    0.019309    'Monaural positive spectral gradients (c.f., Baumgartner et al., 2014)'
    ISS       0.00019531      0.063476           0    'Interaural spectral shape (c.f., Hassager et al., 2016)'
    MSSD        0.019629      0.010901     0.34659    'Spectral SD of monaural positive spectral gradients (c.f., Baumgartner et al., 2014)'
    ISSD       0.0069336      0.017217    0.032649    'Spectral SD of interaural spectral differences (c.f., Georganti et al., 2013)'
    ITIT      0.00078125     0.0035481      0.4388    'Interaural time-intensity trading (ITD vs. ILD)'
    IC         0.0012695     0.0049122     0.16266    'Interaural coherence (c.f., Hassager et al., 2017)'
    MI        4.8828e-05      0.046273           0    'Monaural intensity difference (target - reference)'
    Oracle           NaN    0.00029003         NaN    'Weighted combination'

                        MSS          ISS          MSSD        ISSD          ITIT          IC            MI          Oracle
                     _________    __________    ________    _________    __________    _________    __________    __________

    Exp1_S_cue        0.073828       0.88369    0.021484      0.62119       0.79141    0.0083008     0.0035156           NaN
    Exp1_Error        0.081818      0.011274    0.042295     0.052943     0.0035124    0.0047487      0.012107     0.0036647
    Exp1_Weight              0             0    0.012803            0       0.59117      0.32259      0.073434           NaN
    Exp2_S_cue         0.12051    0.00019531    0.019629    0.0069336    0.00078125    0.0012695    4.8828e-05           NaN
    Exp2_Error       0.0019367      0.063476    0.010901     0.017217     0.0035481    0.0049122      0.046273    0.00029003
    Exp2_Weight       0.019309             0     0.34659     0.032649        0.4388      0.16266             0           NaN
    Exp3_S_cue          0.2293       0.33135     0.12402      0.15986       0.12969     0.035156    0.00026855           NaN
    Exp3_Error       0.0053458     0.0047244    0.088551     0.025814      0.044811      0.13813        0.1971     0.0045675
    Exp3_Weight        0.61553        0.0387           0      0.14921       0.19656            0             0           NaN
    Exp4_S_cue        0.087988        0.4207     0.39395      0.50117      0.023828     0.018164       0.10439           NaN
    Exp4_Error        0.036517      0.081148    0.036857     0.051565       0.13689     0.062149       0.12652      0.023824
    Exp4_Weight        0.50583             0     0.19539            0             0      0.29878             0           NaN
    Exp5_S_cue         0.18057       0.44687    0.054395      0.24404       0.54668      0.36709       0.13701           NaN
    Exp5_Error        0.042443      0.028343     0.10339     0.032469      0.040747     0.050289      0.082399      0.014622
    Exp5_Weight        0.24616       0.29003           0            0             0      0.31167       0.15214           NaN
    W. Avg. S_cue      0.13308       0.41274    0.049147      0.13803       0.39968     0.006618     0.0067398           NaN
    Mean Error        0.033612      0.037793    0.056398     0.036002      0.045902     0.052045       0.09288     0.0093937
    Mean Weight        0.27737      0.065746     0.11096     0.036372        0.2453      0.21914      0.045114           NaN

Re-run to calculate WSM
Showing cue contributions for hartmann1996_exp2
                                            MSS      ISS     MSSD       ISSD      ITIT       IC          MI       Error_Oracle    Error_WSM    Error_LTA     Error_MTA    Error_WTA    BIC_Oracle    BIC_WSM    BIC_LTA    BIC_MTA    BIC_WTA
                                          _______    ___    _______    _______    ____    ________    ________    ____________    _________    __________    _________    _________    __________    _______    _______    _______    ________

    MSS, ISS, MSSD, ISSD, ITIT, IC, MI     0.6551      0    0.22106          0      0     0.083722    0.040114     0.016778        0.016778      0.010236     0.034963      0.22382    -6.6467       -6.6467    -8.6235    -3.7098      3.7164
    MSS, ISS, ISSD, ITIT, IC, MI                1      0        NaN          0      0            0           0    0.0026579       0.0026579      0.003992     0.064724      0.18434    -15.403       -15.403    -13.776    -2.6327       1.554
    MSS, ISS, ISSD, ITIT, IC              0.80456      0        NaN    0.19544      0            0         NaN     0.013594        0.013594    0.00017209    0.0038498      0.25245    -10.261       -10.261    -27.738    -15.307      1.4254
    MSS, ISS, ISSD, ITIT                        1      0        NaN          0      0          NaN         NaN    0.0026579       0.0026579    3.3568e-09     0.017171      0.20468    -18.176       -18.176    -72.504    -10.713    -0.80009
    MSS, ISS, ISSD                              1      0        NaN          0    NaN          NaN         NaN    0.0026579       0.0026579     0.0010269     0.044411      0.10298    -19.562       -19.562    -23.366    -8.2982     -4.9341
    MSS, ISS                                    1      0        NaN        NaN    NaN          NaN         NaN    0.0026579       0.0026579     0.0018667    0.0084993     0.063476    -20.948       -20.948    -22.362    -16.298     -8.2558
    MSS                                         1    NaN        NaN        NaN    NaN          NaN         NaN    0.0026579       0.0026579     0.0019367    0.0019367    0.0019367    -22.335       -22.335    -23.601    -23.601     -23.601

hassager2016
Showing modelling details for hassager2016
                S_cue         Error      Weight                                          Description
              __________    _________    _______    ______________________________________________________________________________________

    MSS           0.2293    0.0053458    0.61553    'Monaural positive spectral gradients (c.f., Baumgartner et al., 2014)'
    ISS          0.33135    0.0047244     0.0387    'Interaural spectral shape (c.f., Hassager et al., 2016)'
    MSSD         0.12402     0.088551          0    'Spectral SD of monaural positive spectral gradients (c.f., Baumgartner et al., 2014)'
    ISSD         0.15986     0.025814    0.14921    'Spectral SD of interaural spectral differences (c.f., Georganti et al., 2013)'
    ITIT         0.12969     0.044811    0.19656    'Interaural time-intensity trading (ITD vs. ILD)'
    IC          0.035156      0.13813          0    'Interaural coherence (c.f., Hassager et al., 2017)'
    MI        0.00026855       0.1971          0    'Monaural intensity difference (target - reference)'
    Oracle           NaN    0.0045675        NaN    'Weighted combination'

                        MSS          ISS          MSSD        ISSD          ITIT          IC            MI          Oracle
                     _________    __________    ________    _________    __________    _________    __________    __________

    Exp1_S_cue        0.073828       0.88369    0.021484      0.62119       0.79141    0.0083008     0.0035156           NaN
    Exp1_Error        0.081818      0.011274    0.042295     0.052943     0.0035124    0.0047487      0.012107     0.0036647
    Exp1_Weight              0             0    0.012803            0       0.59117      0.32259      0.073434           NaN
    Exp2_S_cue         0.12051    0.00019531    0.019629    0.0069336    0.00078125    0.0012695    4.8828e-05           NaN
    Exp2_Error       0.0019367      0.063476    0.010901     0.017217     0.0035481    0.0049122      0.046273    0.00029003
    Exp2_Weight       0.019309             0     0.34659     0.032649        0.4388      0.16266             0           NaN
    Exp3_S_cue          0.2293       0.33135     0.12402      0.15986       0.12969     0.035156    0.00026855           NaN
    Exp3_Error       0.0053458     0.0047244    0.088551     0.025814      0.044811      0.13813        0.1971     0.0045675
    Exp3_Weight        0.61553        0.0387           0      0.14921       0.19656            0             0           NaN
    Exp4_S_cue        0.087988        0.4207     0.39395      0.50117      0.023828     0.018164       0.10439           NaN
    Exp4_Error        0.036517      0.081148    0.036857     0.051565       0.13689     0.062149       0.12652      0.023824
    Exp4_Weight        0.50583             0     0.19539            0             0      0.29878             0           NaN
    Exp5_S_cue         0.18057       0.44687    0.054395      0.24404       0.54668      0.36709       0.13701           NaN
    Exp5_Error        0.042443      0.028343     0.10339     0.032469      0.040747     0.050289      0.082399      0.014622
    Exp5_Weight        0.24616       0.29003           0            0             0      0.31167       0.15214           NaN
    W. Avg. S_cue      0.13308       0.41274    0.049147      0.13803       0.39968     0.006618     0.0067398           NaN
    Mean Error        0.033612      0.037793    0.056398     0.036002      0.045902     0.052045       0.09288     0.0093937
    Mean Weight        0.27737      0.065746     0.11096     0.036372        0.2453      0.21914      0.045114           NaN

Re-run to calculate WSM
Showing cue contributions for hassager2016
                                            MSS        ISS      MSSD      ISSD       ITIT      IC     MI     Error_Oracle    Error_WSM    Error_LTA    Error_MTA    Error_WTA    BIC_Oracle    BIC_WSM    BIC_LTA    BIC_MTA    BIC_WTA
                                          _______    _______    ____    ________    _______    ___    ___    ____________    _________    _________    _________    _________    __________    _______    _______    _______    _______

    MSS, ISS, MSSD, ISSD, ITIT, IC, MI    0.43641    0.38373      0      0.05808    0.12178      0      0    0.0035092       0.0035092     0.014033     0.019727       0.2163    -102.71       -102.71    -72.222     -64.73    -12.047
    MSS, ISS, ISSD, ITIT, IC, MI          0.50071    0.25283    NaN     0.038252     0.2082      0      0    0.0039451       0.0039451     0.018788      0.01618      0.21281    -103.23       -103.23    -68.893    -72.182    -15.495
    MSS, ISS, ISSD, ITIT, IC              0.26534    0.64544    NaN     0.089222          0      0    NaN    0.0029362       0.0029362     0.003581    0.0029892      0.13309    -112.82       -112.82    -108.45    -112.43    -28.912
    MSS, ISS, ISSD, ITIT                   0.2654    0.64527    NaN      0.08933          0    NaN    NaN    0.0029362       0.0029362    0.0033264    0.0029445     0.051896    -115.91       -115.91    -113.17    -115.85    -52.723
    MSS, ISS, ISSD                        0.26542    0.64528    NaN     0.089293        NaN    NaN    NaN    0.0029362       0.0029362    0.0030982    0.0049041    0.0058874       -119          -119    -117.82    -107.72     -103.7
    MSS, ISS                              0.30677    0.69323    NaN          NaN        NaN    NaN    NaN     0.003161        0.003161    0.0017721    0.0030887    0.0046534    -120.47       -120.47     -133.2    -120.98    -111.96
    MSS                                         1        NaN    NaN          NaN        NaN    NaN    NaN     0.021879        0.021879    0.0053458    0.0053458    0.0053458    -80.998       -80.998       -112       -112       -112


baumgartner2017
Showing modelling details for baumgartner2017
               S_cue       Error      Weight                                          Description
              ________    ________    _______    ______________________________________________________________________________________

    MSS       0.087988    0.036517    0.50583    'Monaural positive spectral gradients (c.f., Baumgartner et al., 2014)'
    ISS         0.4207    0.081148          0    'Interaural spectral shape (c.f., Hassager et al., 2016)'
    MSSD       0.39395    0.036857    0.19539    'Spectral SD of monaural positive spectral gradients (c.f., Baumgartner et al., 2014)'
    ISSD       0.50117    0.051565          0    'Spectral SD of interaural spectral differences (c.f., Georganti et al., 2013)'
    ITIT      0.023828     0.13689          0    'Interaural time-intensity trading (ITD vs. ILD)'
    IC        0.018164    0.062149    0.29878    'Interaural coherence (c.f., Hassager et al., 2017)'
    MI         0.10439     0.12652          0    'Monaural intensity difference (target - reference)'
    Oracle         NaN    0.023824        NaN    'Weighted combination'

                        MSS          ISS          MSSD        ISSD          ITIT          IC            MI          Oracle
                     _________    __________    ________    _________    __________    _________    __________    __________

    Exp1_S_cue        0.073828       0.88369    0.021484      0.62119       0.79141    0.0083008     0.0035156           NaN
    Exp1_Error        0.081818      0.011274    0.042295     0.052943     0.0035124    0.0047487      0.012107     0.0036647
    Exp1_Weight              0             0    0.012803            0       0.59117      0.32259      0.073434           NaN
    Exp2_S_cue         0.12051    0.00019531    0.019629    0.0069336    0.00078125    0.0012695    4.8828e-05           NaN
    Exp2_Error       0.0019367      0.063476    0.010901     0.017217     0.0035481    0.0049122      0.046273    0.00029003
    Exp2_Weight       0.019309             0     0.34659     0.032649        0.4388      0.16266             0           NaN
    Exp3_S_cue          0.2293       0.33135     0.12402      0.15986       0.12969     0.035156    0.00026855           NaN
    Exp3_Error       0.0053458     0.0047244    0.088551     0.025814      0.044811      0.13813        0.1971     0.0045675
    Exp3_Weight        0.61553        0.0387           0      0.14921       0.19656            0             0           NaN
    Exp4_S_cue        0.087988        0.4207     0.39395      0.50117      0.023828     0.018164       0.10439           NaN
    Exp4_Error        0.036517      0.081148    0.036857     0.051565       0.13689     0.062149       0.12652      0.023824
    Exp4_Weight        0.50583             0     0.19539            0             0      0.29878             0           NaN
    Exp5_S_cue         0.18057       0.44687    0.054395      0.24404       0.54668      0.36709       0.13701           NaN
    Exp5_Error        0.042443      0.028343     0.10339     0.032469      0.040747     0.050289      0.082399      0.014622
    Exp5_Weight        0.24616       0.29003           0            0             0      0.31167       0.15214           NaN
    W. Avg. S_cue      0.13308       0.41274    0.049147      0.13803       0.39968     0.006618     0.0067398           NaN
    Mean Error        0.033612      0.037793    0.056398     0.036002      0.045902     0.052045       0.09288     0.0093937
    Mean Weight        0.27737      0.065746     0.11096     0.036372        0.2453      0.21914      0.045114           NaN

Re-run to calculate WSM
Showing cue contributions for baumgartner2017
                                            MSS        ISS         MSSD       ISSD      ITIT      IC       MI     Error_Oracle    Error_WSM    Error_LTA    Error_MTA    Error_WTA    BIC_Oracle    BIC_WSM    BIC_LTA    BIC_MTA    BIC_WTA
                                          _______    ________    ________    _______    ____    _______    ___    ____________    _________    _________    _________    _________    __________    _______    _______    _______    ________

    MSS, ISS, MSSD, ISSD, ITIT, IC, MI    0.52452     0.28172    0.086544          0      0     0.10722      0    0.035458        0.035458      0.23958     0.039464      0.15924      -2.328        -2.328     3.4037    -2.0068      2.1782
    MSS, ISS, ISSD, ITIT, IC, MI          0.65009    0.020944         NaN          0      0     0.32897      0     0.02563         0.02563      0.12867     0.035551      0.18553     -4.4003       -4.4003    0.44013    -3.4187      1.5381
    MSS, ISS, ISSD, ITIT, IC              0.65318           0         NaN          0      0     0.34682    NaN    0.025209        0.025209     0.096862     0.018297       0.1465     -5.5486       -5.5486    -1.5103    -6.5101    -0.26922
    MSS, ISS, ISSD, ITIT                  0.77272           0         NaN    0.22728      0         NaN    NaN    0.031348        0.031348     0.051862     0.030572      0.19647     -5.9934       -5.9934    -4.4831    -6.0686    -0.48736
    MSS, ISS, ISSD                        0.77131           0         NaN    0.22869    NaN         NaN    NaN    0.031347        0.031347     0.031438     0.042857     0.036134     -7.0921       -7.0921    -7.0834    -6.1538     -6.6657
    MSS, ISS                              0.76535     0.23465         NaN        NaN    NaN         NaN    NaN    0.042211        0.042211     0.077528     0.042494      0.03398      -7.298        -7.298    -5.4741    -7.2779     -7.9488
    MSS                                         1         NaN         NaN        NaN    NaN         NaN    NaN    0.045874        0.045874     0.036517     0.036517     0.036517      -8.147        -8.147    -8.8313    -8.8313     -8.8313

boyd2012
Showing modelling details for boyd2012
               S_cue       Error      Weight                                          Description
              ________    ________    _______    ______________________________________________________________________________________

    MSS        0.18057    0.042443    0.24616    'Monaural positive spectral gradients (c.f., Baumgartner et al., 2014)'
    ISS        0.44687    0.028343    0.29003    'Interaural spectral shape (c.f., Hassager et al., 2016)'
    MSSD      0.054395     0.10339          0    'Spectral SD of monaural positive spectral gradients (c.f., Baumgartner et al., 2014)'
    ISSD       0.24404    0.032469          0    'Spectral SD of interaural spectral differences (c.f., Georganti et al., 2013)'
    ITIT       0.54668    0.040747          0    'Interaural time-intensity trading (ITD vs. ILD)'
    IC         0.36709    0.050289    0.31167    'Interaural coherence (c.f., Hassager et al., 2017)'
    MI         0.13701    0.082399    0.15214    'Monaural intensity difference (target - reference)'
    Oracle         NaN    0.014622        NaN    'Weighted combination'

                        MSS          ISS          MSSD        ISSD          ITIT          IC            MI          Oracle
                     _________    __________    ________    _________    __________    _________    __________    __________

    Exp1_S_cue        0.073828       0.88369    0.021484      0.62119       0.79141    0.0083008     0.0035156           NaN
    Exp1_Error        0.081818      0.011274    0.042295     0.052943     0.0035124    0.0047487      0.012107     0.0036647
    Exp1_Weight              0             0    0.012803            0       0.59117      0.32259      0.073434           NaN
    Exp2_S_cue         0.12051    0.00019531    0.019629    0.0069336    0.00078125    0.0012695    4.8828e-05           NaN
    Exp2_Error       0.0019367      0.063476    0.010901     0.017217     0.0035481    0.0049122      0.046273    0.00029003
    Exp2_Weight       0.019309             0     0.34659     0.032649        0.4388      0.16266             0           NaN
    Exp3_S_cue          0.2293       0.33135     0.12402      0.15986       0.12969     0.035156    0.00026855           NaN
    Exp3_Error       0.0053458     0.0047244    0.088551     0.025814      0.044811      0.13813        0.1971     0.0045675
    Exp3_Weight        0.61553        0.0387           0      0.14921       0.19656            0             0           NaN
    Exp4_S_cue        0.087988        0.4207     0.39395      0.50117      0.023828     0.018164       0.10439           NaN
    Exp4_Error        0.036517      0.081148    0.036857     0.051565       0.13689     0.062149       0.12652      0.023824
    Exp4_Weight        0.50583             0     0.19539            0             0      0.29878             0           NaN
    Exp5_S_cue         0.18057       0.44687    0.054395      0.24404       0.54668      0.36709       0.13701           NaN
    Exp5_Error        0.042443      0.028343     0.10339     0.032469      0.040747     0.050289      0.082399      0.014622
    Exp5_Weight        0.24616       0.29003           0            0             0      0.31167       0.15214           NaN
    W. Avg. S_cue      0.13308       0.41274    0.049147      0.13803       0.39968     0.006618     0.0067398           NaN
    Mean Error        0.033612      0.037793    0.056398     0.036002      0.045902     0.052045       0.09288     0.0093937
    Mean Weight        0.27737      0.065746     0.11096     0.036372        0.2453      0.21914      0.045114           NaN

Re-run to calculate WSM
Showing cue contributions for boyd2012
                                            MSS        ISS       MSSD     ISSD      ITIT      IC     MI     Error_Oracle    Error_WSM    Error_LTA    Error_MTA    Error_WTA    BIC_Oracle    BIC_WSM    BIC_LTA    BIC_MTA    BIC_WTA
                                          _______    _______    ______    ____    ________    ___    ___    ____________    _________    _________    _________    _________    __________    _______    _______    _______    _______

    MSS, ISS, MSSD, ISSD, ITIT, IC, MI    0.21257     0.6285    0.1101      0     0.048829      0      0    0.024687        0.024687      0.13362     0.029682     0.092207      -53.06        -53.06    -19.286    -49.374    -26.704
    MSS, ISS, ISSD, ITIT, IC, MI          0.35473    0.43705       NaN      0      0.20823      0      0    0.027459        0.027459      0.09833     0.087682     0.090848     -53.927       -53.927    -28.414    -30.706    -29.997
    MSS, ISS, ISSD, ITIT, IC                 0.24    0.68939       NaN      0     0.070618      0    NaN      0.0265          0.0265     0.032461      0.02756     0.055326     -57.634       -57.634    -53.576    -56.849    -42.912
    MSS, ISS, ISSD, ITIT                  0.24023      0.689       NaN      0     0.070763    NaN    NaN      0.0265          0.0265     0.059887     0.024031     0.044368     -60.629       -60.629    -44.323    -62.586    -50.322
    MSS, ISS, ISSD                        0.23669    0.76331       NaN      0          NaN    NaN    NaN    0.026618        0.026618     0.025463     0.025751     0.038386     -63.536       -63.536    -64.423    -64.198    -56.214
    MSS, ISS                               0.2367     0.7633       NaN    NaN          NaN    NaN    NaN    0.026618        0.026618     0.026561     0.026807     0.038242     -66.532       -66.532    -66.574    -66.391    -59.285
    MSS                                         1        NaN       NaN    NaN          NaN    NaN    NaN    0.052145        0.052145     0.042443     0.042443     0.042443     -56.079       -56.079    -60.196    -60.196    -60.196
exp_baumgartner2021_1_1.png exp_baumgartner2021_1_2.png exp_baumgartner2021_1_3.png exp_baumgartner2021_1_4.png exp_baumgartner2021_1_5.png exp_baumgartner2021_1_6.png exp_baumgartner2021_1_7.png exp_baumgartner2021_1_8.png

To display summary results for all experiments use

exp_baumgartner2021('fig3');

This code produces the following output:

MSS          ISS          MSSD        ISSD          ITIT          IC            MI          Oracle
                     _________    __________    ________    _________    __________    _________    __________    __________

    Exp1_S_cue        0.073828       0.88369    0.021484      0.62119       0.79141    0.0083008     0.0035156           NaN
    Exp1_Error        0.081818      0.011274    0.042295     0.052943     0.0035124    0.0047487      0.012107     0.0036647
    Exp1_Weight              0             0    0.012803            0       0.59117      0.32259      0.073434           NaN
    Exp2_S_cue         0.12051    0.00019531    0.019629    0.0069336    0.00078125    0.0012695    4.8828e-05           NaN
    Exp2_Error       0.0019367      0.063476    0.010901     0.017217     0.0035481    0.0049122      0.046273    0.00029003
    Exp2_Weight       0.019309             0     0.34659     0.032649        0.4388      0.16266             0           NaN
    Exp3_S_cue          0.2293       0.33135     0.12402      0.15986       0.12969     0.035156    0.00026855           NaN
    Exp3_Error       0.0053458     0.0047244    0.088551     0.025814      0.044811      0.13813        0.1971     0.0045675
    Exp3_Weight        0.61553        0.0387           0      0.14921       0.19656            0             0           NaN
    Exp4_S_cue        0.087988        0.4207     0.39395      0.50117      0.023828     0.018164       0.10439           NaN
    Exp4_Error        0.036517      0.081148    0.036857     0.051565       0.13689     0.062149       0.12652      0.023824
    Exp4_Weight        0.50583             0     0.19539            0             0      0.29878             0           NaN
    Exp5_S_cue         0.18057       0.44687    0.054395      0.24404       0.54668      0.36709       0.13701           NaN
    Exp5_Error        0.042443      0.028343     0.10339     0.032469      0.040747     0.050289      0.082399      0.014622
    Exp5_Weight        0.24616       0.29003           0            0             0      0.31167       0.15214           NaN
    W. Avg. S_cue      0.13308       0.41274    0.049147      0.13803       0.39968     0.006618     0.0067398           NaN
    Mean Error        0.033612      0.037793    0.056398     0.036002      0.045902     0.052045       0.09288     0.0093937
    Mean Weight        0.27737      0.065746     0.11096     0.036372        0.2453      0.21914      0.045114           NaN
exp_baumgartner2021_2_1.png exp_baumgartner2021_2_2.png

To display results for different decision strategies use

exp_baumgartner2021('fig4');

This code produces the following output:

Prediciton errors for tested decisions:
                                          RMSE_WSM    RMSE_LTA    RMSE_MTA    RMSE_WTA    RC_WSM     RC_LTA     RC_MTA     RC_WTA
                                          ________    ________    ________    ________    _______    _______    _______    _______

    MSS, ISS, MSSD, ISSD, ITIT, IC, MI    0.11753     0.25924     0.18648     0.43099     0.88895    0.85049    0.83032    0.41214
    MSS, ISS, ISSD, ITIT, IC, MI          0.11744     0.25938     0.19273     0.39602     0.88895    0.86592    0.83704    0.46829
    MSS, ISS, ISSD, ITIT, IC              0.11746      0.2584     0.16137     0.32548     0.88895    0.87518    0.92162    0.71882
    MSS, ISS, ISSD, ITIT                  0.11746     0.26063     0.16076     0.21793     0.88895    0.86842    0.90879    0.79757
    MSS, ISS, ISSD                        0.11748     0.13835     0.19177     0.19704     0.88711    0.95925    0.82167      0.752
    MSS, ISS                              0.11809      0.1371     0.13054     0.19185     0.86478    0.94514    0.88249    0.74811
    MSS                                    0.1456      0.1456      0.1456      0.1456     0.75263    0.75263    0.75263    0.75263

WSM weights/percentages
                                            MSS        ISS      MSSD      ISSD        ITIT       IC        MI         RMSE        RC
                                          _______    _______    ____    ________    _________    ___    _________    _______    _______

    MSS, ISS, MSSD, ISSD, ITIT, IC, MI     0.5816    0.33791      0     0.055988    0.0053909      0     0.019103    0.11753    0.88895
    MSS, ISS, ISSD, ITIT, IC, MI          0.59139    0.33241    NaN     0.062229    0.0073198      0    0.0066538    0.11744    0.88895
    MSS, ISS, ISSD, ITIT, IC              0.59457    0.32888    NaN     0.069538    0.0070146      0          NaN    0.11746    0.88895
    MSS, ISS, ISSD, ITIT                  0.59439    0.32892    NaN     0.069645    0.0070426    NaN          NaN    0.11746    0.88895
    MSS, ISS, ISSD                        0.59553    0.33176    NaN     0.072712          NaN    NaN          NaN    0.11748    0.88711
    MSS, ISS                              0.59938    0.40062    NaN          NaN          NaN    NaN          NaN    0.11809    0.86478
    MSS                                         1        NaN    NaN          NaN          NaN    NaN          NaN     0.1456    0.75263

WSM mapping sensitivity
                                            MSS        ISS        MSSD       ISSD       ITIT        IC         MI
                                          _______    _______    ________    _______    _______    _______    _______

    MSS, ISS, MSSD, ISSD, ITIT, IC, MI    0.20029    0.51084    0.080273    0.24854    0.49307    0.33066    0.12891
    MSS, ISS, ISSD, ITIT, IC, MI          0.20029    0.51084         NaN    0.24854    0.49307    0.33066    0.12891
    MSS, ISS, ISSD, ITIT, IC              0.20029    0.51084         NaN    0.24854    0.49307    0.33066        NaN
    MSS, ISS, ISSD, ITIT                  0.20029    0.51084         NaN    0.24854    0.49307        NaN        NaN
    MSS, ISS, ISSD                        0.20029    0.51084         NaN    0.24854        NaN        NaN        NaN
    MSS, ISS                              0.20029    0.51084         NaN        NaN        NaN        NaN        NaN
    MSS                                   0.20029        NaN         NaN        NaN        NaN        NaN        NaN

LTA weights/percentages
                                           MSS       ISS       MSSD      ISSD      ITIT       IC        MI       RMSE        RC
                                          ______    ______    ______    ______    ______    ______    ______    _______    _______

    MSS, ISS, MSSD, ISSD, ITIT, IC, MI    14.815    22.222    3.7037    9.2593    33.333    12.963    3.7037    0.25924    0.85049
    MSS, ISS, ISSD, ITIT, IC, MI          12.963    22.222       NaN    9.2593    38.889    12.963    3.7037    0.25938    0.86592
    MSS, ISS, ISSD, ITIT, IC              12.963    31.481       NaN    9.2593    31.481    14.815       NaN     0.2584    0.87518
    MSS, ISS, ISSD, ITIT                  12.963    25.926       NaN    14.815    46.296       NaN       NaN    0.26063    0.86842
    MSS, ISS, ISSD                        12.963    62.963       NaN    24.074       NaN       NaN       NaN    0.13835    0.95925
    MSS, ISS                              24.074    75.926       NaN       NaN       NaN       NaN       NaN     0.1371    0.94514
    MSS                                      100       NaN       NaN       NaN       NaN       NaN       NaN     0.1456    0.75263

LTA mapping sensitivity
                                            MSS        ISS       MSSD      ISSD       ITIT        IC         MI
                                          _______    _______    ______    _______    _______    _______    _______

    MSS, ISS, MSSD, ISSD, ITIT, IC, MI    0.52415    0.52027    1.2398     0.7091    0.42722      0.701    0.55164
    MSS, ISS, ISSD, ITIT, IC, MI          0.65955    0.50175       NaN    0.63696    0.53876    0.56382    0.48832
    MSS, ISS, ISSD, ITIT, IC              0.66421      0.645       NaN    0.49837    0.48206    0.59694        NaN
    MSS, ISS, ISSD, ITIT                    0.619    0.47043       NaN    0.58458    0.52859        NaN        NaN
    MSS, ISS, ISSD                          0.529    0.46983       NaN    0.48831        NaN        NaN        NaN
    MSS, ISS                              0.53225    0.45265       NaN        NaN        NaN        NaN        NaN
    MSS                                   0.20029        NaN       NaN        NaN        NaN        NaN        NaN

MTA weights/percentages
                                           MSS       ISS       MSSD      ISSD      ITIT       IC        MI       RMSE        RC
                                          ______    ______    ______    ______    ______    ______    ______    _______    _______

    MSS, ISS, MSSD, ISSD, ITIT, IC, MI    33.333    1.8519    7.4074    24.074    16.667    12.963    3.7037    0.18648    0.83032
    MSS, ISS, ISSD, ITIT, IC, MI          31.481     20.37       NaN    33.333    7.4074    5.5556    1.8519    0.19273    0.83704
    MSS, ISS, ISSD, ITIT, IC              25.926    16.667       NaN    24.074     20.37    12.963       NaN    0.16137    0.92162
    MSS, ISS, ISSD, ITIT                  37.037    35.185       NaN    22.222    5.5556       NaN       NaN    0.16076    0.90879
    MSS, ISS, ISSD                        38.889    14.815       NaN    46.296       NaN       NaN       NaN    0.19177    0.82167
    MSS, ISS                               79.63     20.37       NaN       NaN       NaN       NaN       NaN    0.13054    0.88249
    MSS                                      100       NaN       NaN       NaN       NaN       NaN       NaN     0.1456    0.75263

MTA mapping sensitivity
                                            MSS        ISS       MSSD      ISSD        ITIT        IC         MI
                                          _______    _______    ______    _______    ________    _______    _______

    MSS, ISS, MSSD, ISSD, ITIT, IC, MI    0.31861    0.30829    0.1204    0.17006    0.014735     0.2665    0.15971
    MSS, ISS, ISSD, ITIT, IC, MI          0.25147    0.20099       NaN    0.25667     0.24117    0.23628    0.20293
    MSS, ISS, ISSD, ITIT, IC              0.24786    0.11211       NaN    0.36074     0.75978    0.24627        NaN
    MSS, ISS, ISSD, ITIT                  0.11195    0.36695       NaN    0.66352     0.23544        NaN        NaN
    MSS, ISS, ISSD                        0.28021    0.27909       NaN    0.28688         NaN        NaN        NaN
    MSS, ISS                              0.32468    0.27857       NaN        NaN         NaN        NaN        NaN
    MSS                                   0.20029        NaN       NaN        NaN         NaN        NaN        NaN

WTA weights/percentages
                                           MSS       ISS       MSSD      ISSD      ITIT       IC        MI       RMSE        RC
                                          ______    ______    ______    ______    ______    ______    ______    _______    _______

    MSS, ISS, MSSD, ISSD, ITIT, IC, MI    18.519    1.8519    14.815    1.8519    1.8519    9.2593    51.852    0.43099    0.41214
    MSS, ISS, ISSD, ITIT, IC, MI          22.222         0       NaN    1.8519    3.7037    1.8519     70.37    0.39602    0.46829
    MSS, ISS, ISSD, ITIT, IC              37.037    11.111       NaN    11.111    7.4074    33.333       NaN    0.32548    0.71882
    MSS, ISS, ISSD, ITIT                  53.704    14.815       NaN    16.667    14.815       NaN       NaN    0.21793    0.79757
    MSS, ISS, ISSD                        66.667    9.2593       NaN    24.074       NaN       NaN       NaN    0.19704      0.752
    MSS, ISS                              88.889    11.111       NaN       NaN       NaN       NaN       NaN    0.19185    0.74811
    MSS                                      100       NaN       NaN       NaN       NaN       NaN       NaN     0.1456    0.75263

WTA mapping sensitivity
                                            MSS          ISS          MSSD        ISSD        ITIT        IC          MI
                                          ________    _________    __________    _______    ________    _______    _________

    MSS, ISS, MSSD, ISSD, ITIT, IC, MI     0.18115      0.12708    0.00010554    0.12075    0.032915    0.44682      0.15632
    MSS, ISS, ISSD, ITIT, IC, MI          0.086929    0.0098455           NaN    0.27546      0.2765    0.12867    0.0070348
    MSS, ISS, ISSD, ITIT, IC              0.013149     0.021515           NaN    0.23154    0.011956    0.53341          NaN
    MSS, ISS, ISSD, ITIT                   0.14314      0.16601           NaN    0.17594    0.038588        NaN          NaN
    MSS, ISS, ISSD                         0.16625      0.15317           NaN    0.17221         NaN        NaN          NaN
    MSS, ISS                               0.22118      0.18547           NaN        NaN         NaN        NaN          NaN
    MSS                                    0.20029          NaN           NaN        NaN         NaN        NaN          NaN

Contributions and Prediction errors:
      MSS        ISS        MSSD       ISSD        ITIT         IC          MI       WSM_RMSE    RMSE_CIlow    RMSE_CIhigh      RC       RC_CIlow    RC_CIhigh
    _______    _______    ________    _______    ________    ________    ________    ________    __________    ___________    _______    ________    _________

    0.59938    0.40062         NaN        NaN         NaN         NaN         NaN    0.11809     0.095931        0.148        0.86478    0.63854     0.95942
    0.71892        NaN         NaN    0.28108         NaN         NaN         NaN    0.12576      0.10172      0.15657        0.83843    0.57385     0.93549
    0.85523        NaN         NaN        NaN     0.14477         NaN         NaN    0.13731      0.11051      0.17953         0.7868    0.46955     0.88708
    0.92842        NaN         NaN        NaN         NaN         NaN    0.071582    0.14262      0.11024      0.22371         0.7504    0.55194     0.85547
    0.94641        NaN         NaN        NaN         NaN    0.053586         NaN    0.14426       0.1132      0.19818        0.74569     0.4551      0.8543
    0.95871        NaN    0.041292        NaN         NaN         NaN         NaN    0.14507      0.11371      0.19892        0.74844    0.47308     0.86354
        NaN    0.82733     0.17267        NaN         NaN         NaN         NaN    0.16374      0.11742      0.24013        0.95525    0.85432     0.98604
        NaN    0.89015         NaN        NaN         NaN     0.10985         NaN    0.16868      0.10935      0.23963        0.93912    0.75659     0.97646
        NaN    0.90102         NaN        NaN         NaN         NaN    0.098984    0.16893      0.12065      0.26496        0.94077    0.78268     0.97695
        NaN    0.92343         NaN        NaN    0.076571         NaN         NaN    0.17232      0.12141      0.25191        0.94876    0.76957     0.98323
        NaN     0.8758         NaN     0.1242         NaN         NaN         NaN     0.1725      0.12252      0.25112        0.94708    0.77888     0.98121
        NaN        NaN         NaN    0.78826     0.21174         NaN         NaN    0.21719      0.17419      0.27603        0.81082    0.52927      0.9191
        NaN        NaN     0.20616    0.79384         NaN         NaN         NaN    0.21723      0.16999      0.27087        0.79928    0.53328     0.90173
        NaN        NaN         NaN    0.87082         NaN     0.12918         NaN    0.22133      0.17768      0.28127        0.82783    0.57306     0.94132
        NaN        NaN         NaN    0.92908         NaN         NaN    0.070921    0.22443      0.18078      0.28698        0.82031    0.62603     0.92533
        NaN        NaN     0.49042        NaN     0.50958         NaN         NaN    0.23738       0.1856      0.29973        0.81579    0.60312     0.87345
        NaN        NaN         NaN        NaN     0.61042     0.38958         NaN    0.26887      0.21168      0.33629         0.8729    0.69317     0.93063
        NaN        NaN     0.59676        NaN         NaN     0.40324         NaN     0.2692      0.22411      0.31843        0.59919    0.28776     0.77192
        NaN        NaN         NaN        NaN     0.64409         NaN     0.35591    0.26923      0.20975      0.33746        0.83805    0.66278     0.91973
        NaN        NaN     0.69446        NaN         NaN         NaN     0.30554    0.29945      0.25648      0.34758        0.51276    0.17915     0.68782
        NaN        NaN         NaN        NaN         NaN     0.72989     0.27011    0.37203      0.29986      0.47089        0.64959    0.29331     0.78238

Sensitivities:
      MSS        ISS        MSSD       ISSD       ITIT        IC         MI
    _______    _______    ________    _______    _______    _______    _______

    0.20029    0.51084         NaN        NaN        NaN        NaN        NaN
    0.20029        NaN         NaN    0.24854        NaN        NaN        NaN
    0.20029        NaN         NaN        NaN    0.49307        NaN        NaN
    0.20029        NaN         NaN        NaN        NaN        NaN    0.12891
    0.20029        NaN         NaN        NaN        NaN    0.33066        NaN
    0.20029        NaN    0.080273        NaN        NaN        NaN        NaN
        NaN    0.51084    0.080273        NaN        NaN        NaN        NaN
        NaN    0.51084         NaN        NaN        NaN    0.33066        NaN
        NaN    0.51084         NaN        NaN        NaN        NaN    0.12891
        NaN    0.51084         NaN        NaN    0.49307        NaN        NaN
        NaN    0.51084         NaN    0.24854        NaN        NaN        NaN
        NaN        NaN         NaN    0.24854    0.49307        NaN        NaN
        NaN        NaN    0.080273    0.24854        NaN        NaN        NaN
        NaN        NaN         NaN    0.24854        NaN    0.33066        NaN
        NaN        NaN         NaN    0.24854        NaN        NaN    0.12891
        NaN        NaN    0.080273        NaN    0.49307        NaN        NaN
        NaN        NaN         NaN        NaN    0.49307    0.33066        NaN
        NaN        NaN    0.080273        NaN        NaN    0.33066        NaN
        NaN        NaN         NaN        NaN    0.49307        NaN    0.12891
        NaN        NaN    0.080273        NaN        NaN        NaN    0.12891
        NaN        NaN         NaN        NaN        NaN    0.33066    0.12891
exp_baumgartner2021_3_1.png exp_baumgartner2021_3_2.png exp_baumgartner2021_3_3.png exp_baumgartner2021_3_4.png exp_baumgartner2021_3_5.png exp_baumgartner2021_3_6.png exp_baumgartner2021_3_7.png

References:

A. W. Boyd, W. M. Whitmer, J. J. Soraghan, and M. A. Akeroyd. Auditory externalization in hearing-impaired listeners: The effect of pinna cues and number of talkers. J. Acoust. Soc. Am., 131(3):EL268--EL274, 2012. [ DOI | arXiv | www: ]

W. M. Hartmann and A. Wittenberg. On the externalization of sound images. J. Acoust. Soc. Am., 99(6):3678--88, June 1996. [ http ]

H. G. Hassager, F. Gran, and T. Dau. The role of spectral detail in the binaural transfer function on perceived externalization in a reverberant environment. J. Acoust. Soc. Am., 139(5):2992--3000, 2016. [ DOI | arXiv | www: ]