THE AUDITORY MODELING TOOLBOX

This documentation page applies to an outdated AMT version (1.1.0). Click here for the most recent page.

View the code

Go to function

EXP_BARUMERLI2021 - - Experiments and results of Barumerli et al. (2021)

Usage

[] = exp_barumerli2021(flag)

Description

exp_barumerli2021(flag) reproduces figures and results of the study from Barumerli et al. (2021).

The following flags can be specified

'tab2' Report data in Tab.2: The metrics LE, PE and QE computed for each fitted model are compared to the actual performances of five listeners in Majdak et al. (2010). Three different versions are tested each one with a different features space. The first considers with only binaural cues, the second combines binaural cues with spectral amplitudes and the third relies on binaural cues and spectral gradients.
'gain_test' Report results on prior contribution: This experiment prints the results of the analysis which employs the polar gain metric as in Ege et al. (2018) to quantify the contribution of the prior distribution.
'fig3' Reproduce Fig.3: Prediction examples. Example of the model inferring the sound direction. Particularly, the plot shows the prediction of the bayesian observer based on the posterior distribution. Finally, such estimate is corrupted by motor noise required by the listener to provide a response.
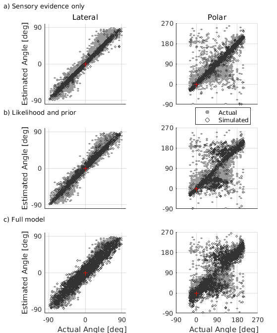
'fig4' Reproduce Fig.4: Example of the fitted model based on spectral gradients. The actual data for both lateral and polar dimensions are from subject NH16 from Majdak et al. (2010). Moreover, model predictions, black dots, are: (a) based only on the likelihood function (i.e. inference driven only by sensory evidence) as in Reijniers et al. (2014) (b) Bayesian inference with both prior belief and sensory evidence. (c) Full model (i.e. Bayesian inference and sensorimotor stage.
'fig5' Reproduce Fig.5: Comparison between fitted models and actual data for five listeners in Majdak et al (2010). Actual (gray) and predicted (black) are the sound-localization performance metrics obtained by models based on spectral amplitues or gradients. Each row reports a different metrics: the first is about the Lateral Error (LE) as function of the lateral angle, the second and the third show the Polar Error (PE) and Quadrant Error (QE), respectively as a function of the polar angle, calculated for all targets within the lateral interval [-30, 30]deg.
'exp_middlebrooks1999'
 Reproduce Fig.6: Predicted localization performance obtained for the individual (Own) and non-individual (Other) HRTFs with models based on two feature spaces. Additionally, predictions from Reijniers et al. (2014) and Baumgartner et al. (2014) as well as actual data from the original experiment Middlebrooks (1999) are shown.
'exp_macpherson2003'
 
Reproduce Fig.7:
Effect of the spectral ripples on sound localization performance by means of the polar error metric. Top and bottom left panels show differences to the reference condition in the right-most bottom panel which reports the polar errors obtained with broadband noise without spectral ripples. All panels show, in addition to predictions from our models, predictions from Reijniers et al (2014) and Baumgartner et al. (2014) as well as actual data from the original experiment Macpherson and Middlebrooks (2003).

Further, cache flags (see amt_cache) and plot flags can be specified:

'plot' Plot the output of the experiment. This is the default.

'no_plot' Don't plot, only return data.

'test' Run one iteration for the experiment for testing code.

'redo' Recompute all results (it can take a while)

'redo_fast' Recumpute all results but with less iterations. Cached

files are not changed.

Requirements:

  1. SOFA API v1 or higher from http://sourceforge.net/projects/sofacoustics for Matlab (in e.g. thirdparty/SOFA)
  2. Data in hrtf/barumerli2021
  3. Statistics Toolbox and Computer Vision Toolbox for Matlab

Examples:

To display Fig.3 use

exp_barumerli2021('fig3');

To display Fig.4 use

exp_barumerli2021('fig4');

To display Fig.5 use

exp_barumerli2021('fig5');

To display exp_middlebrooks1999 use

exp_barumerli2021('exp_middlebrooks1999');

To display exp_macpherson2003 use

exp_barumerli2021('exp_macpherson2003');
exp_barumerli2021_1_1.png exp_barumerli2021_2_1.png exp_barumerli2021_3_1.png exp_barumerli2021_4_1.png exp_barumerli2021_5_1.png

References:

R. Baumgartner, P. Majdak, and B. Laback. Modeling sound-source localization in sagittal planes for human listeners. The Journal of the Acoustical Society of America, 136(2):791--802, 2014. [ DOI ]

P. Majdak, M. J. Goupell, and B. Laback. 3-D localization of virtual sound sources: Effects of visual environment, pointing method and training. Atten Percept Psycho, 72:454--469, 2010.

J. Reijniers, D. Vanderleist, C. Jin, C. S., and H. Peremans. An ideal-observer model of human sound localization. Biological Cybernetics, 108:169--181, 2014.