THE AUDITORY MODELING TOOLBOX

This documentation page applies to an outdated AMT version (1.0.0). Click here for the most recent page.

View the code

Go to function

EXP_ENGEL2021 - - Simulations of Engel et al. (2021)

Usage

data = exp_engel2021(flag)

Description

exp_engel2021(flag) reproduces figures of the study from Engel et al. (2021).

Input parameters

'='fig1' spherical harmonics spectr 'fig1' spherical harmonics spectra '='fig2' mag/phase errors per spatial orde 'fig2' mag/phase errors per spatial order '='fig3' ITD/ILD per spatial orde 'fig3' ITD/ILD per spatial order '='fig4' mag/phase errors per metho 'fig4' mag/phase errors per method '='fig5' ITD/ILD per metho 'fig5' ITD/ILD per method '='fig6' loudness per directio 'fig6' loudness per direction '='fig7' models' outputs per spatial orde 'fig7' models' outputs per spatial order'''''''

This script will look for cached data of hnm and results obtained from running the 3 models baumgartner2021, jelfs2011, and reijniers2014.

If these are not found, the data will be generated from a set of HRTF.

WARNINGS: The HRTF data (hnm) is fairly large (~9GB) and may take several

minutes to generate. Most of it is not needed for the plots.
  • The results data is smaller (~300MB) but may take LONG to generate
    (it took ~12 hours on a consumer-grade laptop. It is recommended to download it if available online.

Examples:

To display Fig.1 of Engel(2021) use

exp_engel2021('fig1');
exp_engel2021_1.png

To display Fig.2 of Engel(2021) use

exp_engel2021('fig2');
exp_engel2021_2.png

To display Fig.3 of Engel(2021) use

exp_engel2021('fig3');
exp_engel2021_3_1.png exp_engel2021_3_2.png

To display Fig.4 of Engel(2021) use

exp_engel2021('fig4');
exp_engel2021_4_1.png

To display Fig.5 of Engel(2021) use

exp_engel2021('fig5');
exp_engel2021_5_1.png exp_engel2021_5_2.png

To display Fig.6 of Engel(2021) use

exp_engel2021('fig6');
exp_engel2021_6_1.png exp_engel2021_6_2.png

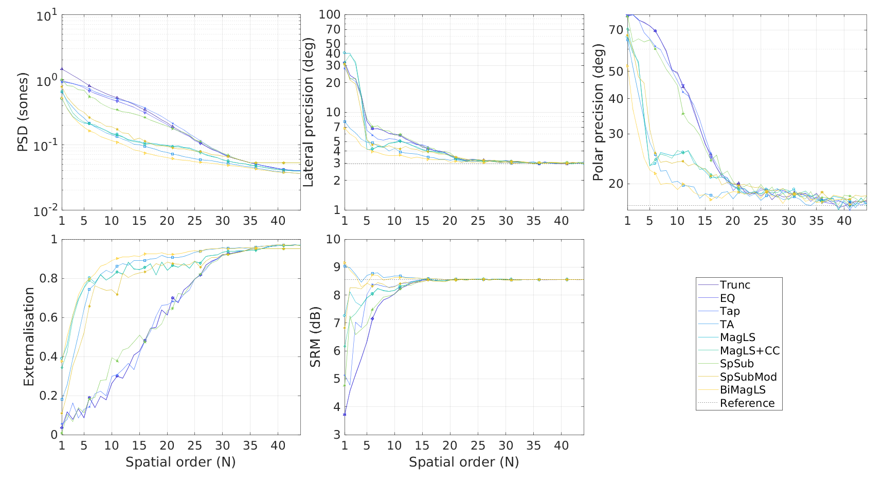
To display Fig.7 of Engel(2021) use

exp_engel2021('fig7');
exp_engel2021_7_1.png

EXTERNAL DEPENDENCIES (you will need these in your Matlab path): BinauralSH (github.com/isaacengel/BinauralSH)