THE AUDITORY MODELING TOOLBOX

This documentation page applies to an outdated major AMT version. We show it for archival purposes only.
Click here for the documentation menu and here to download the latest AMT (1.6.0).

View the code

Go to function

EXP_LOPEZPOVEDA2001 - Figures from Lopez-Poveda and Meddis (2001)

Usage

output = exp_lopezpoveda2001(flag)

exp_lopezpoveda2001(flags,... ) reproduces experiments from the Lopez & Poveda (2001) paper.

The following flags can be specified;

'plot' Plot the output of the experiment. This is the default.
'noplot' Don't plot, only return data.
'fig2'

Reproduce Fig. 2 from Lopez & Poveda (2001)

Fig. 2a represents the outer ear filter - pressure gain (dB) over frequency with data points from Pralong and Carlile (1996).

Fig. 2b represents the middle ear filter - stapes velocity at 0dB over frequency in one plot Fig. 2b shows for default \(fs = 22050 Hz\) :

  • Data points directly derived from Goode et al. 1994
  • FIR filter with data points from Goode et al. 1994
  • Data points of figure 2b from Lopez-Poveda and Meddis 2001 (read from fig 2b, actually also derived from Goode et al. 1994) The output are the data points of the respective figure.

The dimensions of the output are: frequency values x data points x figure no.

'fig2a' Reproduce just Fig. 2a.
'fig2b' Reproduce just Fig. 2b.
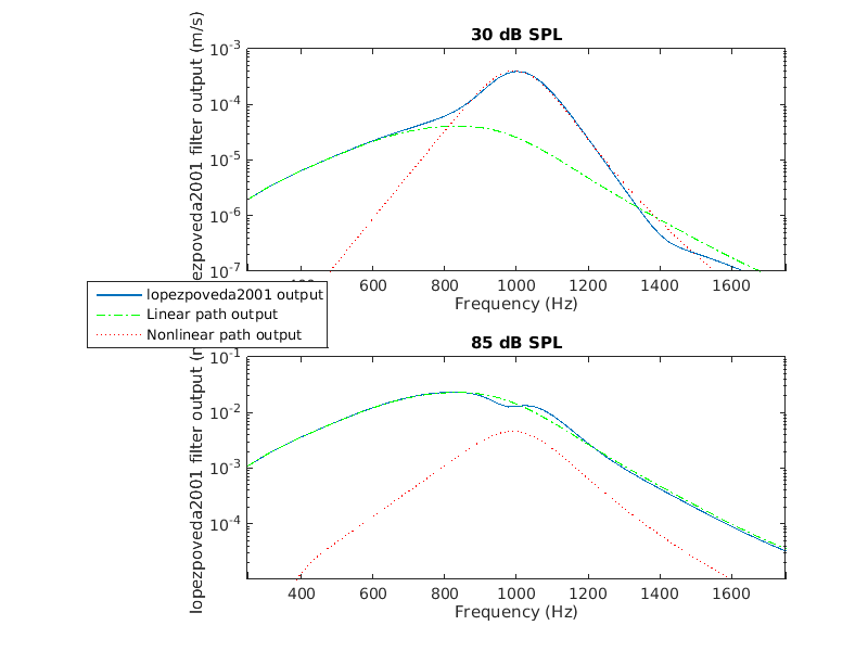
'fig3bc' Reproduce Fig. 3b and c from Lopez & Poveda (2001). Isointensity response of the linear, nonlinear and summed response of the lopezpoveda2001 filter for an input level of 30dB (fig 3b) and 85dB (fig 3c) SPL The output is the output of the lopezpoveda2001 filter for the different input levels. The dimensions of the output are: input frequency x [frequency values, linear output, nonlinear output, summed lopezpoveda2001 output] x input level.
'fig3b' Reproduce just Fig. 3b.
'fig3c' Reproduce just fig. 3c.
'fig4'

Reproduce Fig. 4 from Lopez & Poveda (2001) - pulsation threshold data (just the model results, not the experimental data) The output is the model result for the different parameter sets. The dimensions of the output are: signal level x masker level x signal frequency masker level consists of 4 columns:

  1. Signal level in dB SPL (x axis in the plots)
  2. Results for parameter set of YO, table I
  3. Results for average parameter set, table II
  4. Results for regression lines, table III

Examples:

To display Figure 2 use

exp_lopezpoveda2001('fig2');
exp_lopezpoveda2001_1_1.png

To display Figure 3b and 3c use

exp_lopezpoveda2001('fig3bc');
exp_lopezpoveda2001_2_1.png

To display Figure 4 use

exp_lopezpoveda2001('fig4');
exp_lopezpoveda2001_3_1.png

References:

R. Goode, M. Killion, K. Nakamura, and S. Nishihara. New knowledge about the function of the human middle ear: development of an improved analog model. The American journal of otology, 15(2):145-154, 1994.

E. Lopez-Poveda and R. Meddis. A human nonlinear cochlear filterbank. J. Acoust. Soc. Am., 110:3107-3118, 2001.

D. Pralong and S. Carlile. The role of individualized headphone calibration for the generation of high fidelity virtual auditory space. J. Acoust. Soc. Am., 100:3785-3793, 1996.