THE AUDITORY MODELING TOOLBOX

This documentation page applies to an outdated major AMT version. We show it for archival purposes only.
Click here for the documentation menu and here to download the latest AMT (1.6.0).

View the code

Go to function

EXP_BAUMGARTNER2017 - - Experiments of Baumgartner et al. (2017)

Usage

data = exp_baumgartner2017(flag)

exp_baumgartner2017(flag) reproduces figures of the study from Baumgartner et al. (2017).

The following flags can be specified

boyd2012 models experiments from Boyd et al. (2012; Fig.1, top).
Average externalization ratings of 1 talker for NH participants against mix point as a function of microphone position (ITE/BTE) and frequency response (BB/LP). The reference condition (ref) is the same as ITE/BB. Error bars show SEM.
hartmann1996 models experiments from Hartmann & Wittenberg (1996; Fig.7-8)
1st panel: Synthesis of zero-ILD signals. Only the harmonics from 1 to nprime had zero interaural level difference; harmonics above nprime retained the amplitudes of the baseline synthesis. Externalization scores as a function of the boundary harmonic number nprime. Fundamental frequency of 125 Hz. 2nd panel: Synthesis of signals to test the ISLD hypothesis. Harmonics at and below the boundary retained only the interaural spectral level differences of the baseline synthesis. Higher harmonics retained left and right baseline harmonic levels. Externalization scores as a function of the boundary frequency.
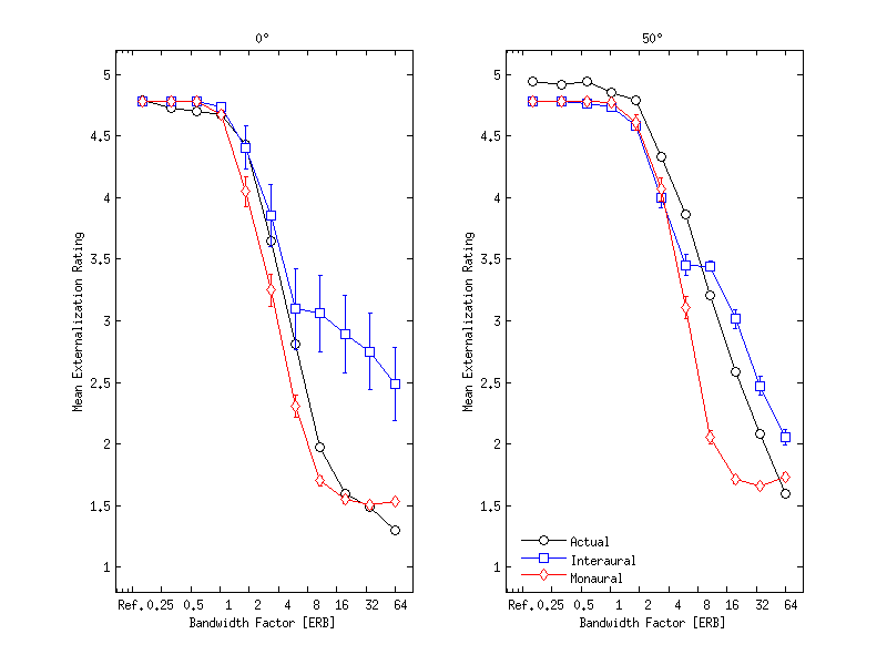
hassager2016 models experiments from Hassager et al. (2016; Fig.6).
The mean of the seven listeners perceived sound source location (black) as a function of the bandwidth factor and the corresponding model predictions (colored). The model predictions have been shifted slightly to the right for a better visual interpretation. The error bars are one standard error of the mean.

Requirements:

  1. SOFA API v0.4.3 or higher from http://sourceforge.net/projects/sofacoustics for Matlab (in e.g. thirdparty/SOFA)
  2. Data in hrtf/baumgartner2017
  3. Statistics Toolbox for Matlab (for some of the figures)

Examples:

To display results for Fig.1 from Boyd et al. (2012) use

exp_baumgartner2017('boyd2012');
exp_baumgartner2017_1_1.png

To display results for Fig.7-8 from Hartmann & Wittenberg (1996) use

exp_baumgartner2017('hartmann1996');
exp_baumgartner2017_2_1.png

To display results for Fig.6 from Hassager et al. (2016) use

exp_baumgartner2017('hassager2016');
exp_baumgartner2017_3_1.png

References:

R. Baumgartner, P. Majdak, H. Colburn, and B. Shinn-Cunningham. Modeling sound externalization based on listener-specific spectral cues. In Acoustics ‘17 Boston: The 3rd Joint Meeting of the Acoustical Society of America and the European Acoustics Association, Boston, MA, Jun 2017. [ DOI ]

A. W. Boyd, W. M. Whitmer, J. J. Soraghan, and M. A. Akeroyd. Auditory externalization in hearing-impaired listeners: The effect of pinna cues and number of talkers. J. Acoust. Soc. Am., 131(3):EL268-EL274, 2012. [ DOI | arXiv | www: ]

W. M. Hartmann and A. Wittenberg. On the externalization of sound images. J. Acoust. Soc. Am., 99(6):3678-88, June 1996. [ http ]

H. G. Hassager, F. Gran, and T. Dau. The role of spectral detail in the binaural transfer function on perceived externalization in a reverberant environment. J. Acoust. Soc. Am., 139(5):2992-3000, 2016. [ DOI | arXiv | www: ]