THE AUDITORY MODELING TOOLBOX

This documentation page applies to an outdated major AMT version. We show it for archival purposes only.
Click here for the documentation menu and here to download the latest AMT (1.6.0).

View the code

Go to function

data_baumgartner2017looming - - Results from Baumgartner et al. (2017)

Usage

data = data_baumgartner2017looming(dataFlag,measure)
data = data_baumgartner2017looming(fig)

data_baumgartner2017looming provides individually measured HRTFs and experimental results from Baumgartner et al. (2017). Use the fig flag to obtain data shown in figures from Baumgartner et al. (2017).

The dataFlag flag may be used to choose between HRTFs and various experimental results:

'hrtf' HRTFs used in all experiments.
'pretest' Behavioral results of pre-test.
'exp1' Behavioral or ERP results of Exp. I. Default.
'exp2' Behavioral results of Exp. II.

The measure flag may be one of:

'judgment' Judgment of relative distance change (motion direction). Default.
'rt' Response time.
'erp' ERP magnitude measures.

The fig flag may be one of:

'fig1b' Effect of spectral contrast manipulation according to factor C on magnitude responses of listener-specific stimuli of Exp. I (B, Top) as well as their frequency-specific and overall loudness changes relative to C = 1. Shaded areas denote ±1 standard error of the mean (SEM; N = 15). Note that changes in overall loudness oppose the intended effect of contrast switch.
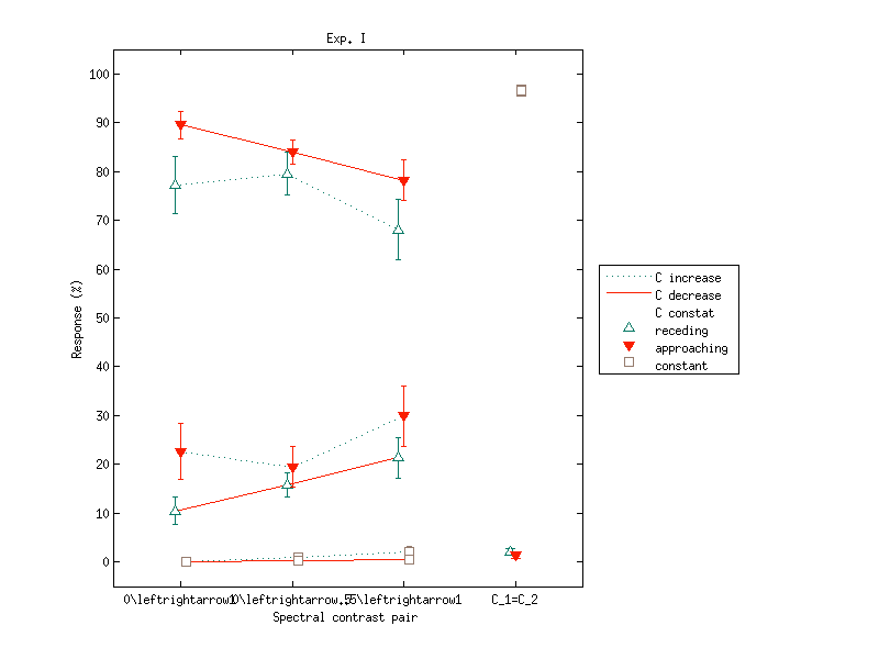
'fig2' Behavioral responses were more consistent for sounds perceived as approaching compared to sounds perceived as receding if instantaneous spectral changes were presented in continuous stimuli. Mean behavioral responses in the 3?AFC motion discrimination task of Exp. I (fist figure; N = 15) and the 2?AFC motion discrimination task of Exp. II (second figure; N = 13). Results of Exp. II are separated between trials presenting instantaneous but continuous (Left; as in Exp. I) and discontinuous (Right) spectral contrast switches. Decreasing spectral contrast switches (orange lines) were predominantly perceived as approaching (orange triangles), increasing spectral contrast switches (green lines) as receding (green triangles), and constant spectral contrasts (no lines) as static (gray squares). Statistical analyses focused on these predominant response associations. Values reflect mean ±1 SEM.
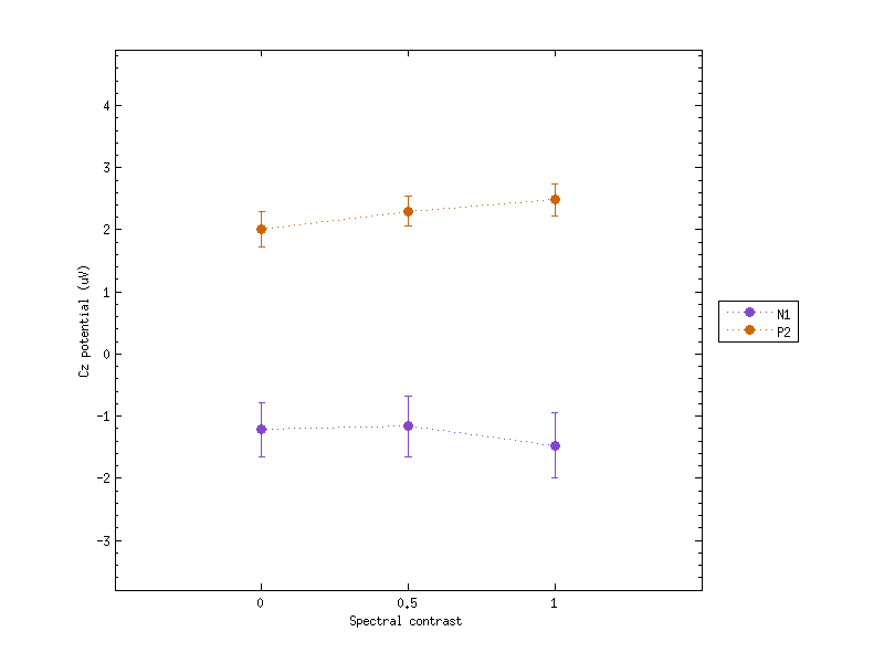
'fig3a' Extracted N1 and P2 amplitudes evoked by stimulus onset. Error bars reflect SEM.
'fig3b' Extracted N1 and P2 amplitudes evoked by stimulus switch. Error bars reflect SEM.

Additional flags may be:

'plot' Plot results as published.
'noplot' No plots. Default.
'stat' Analyze and display inferential statistics.
'nostat' No statistics. Default.
'onset' To use onset ERPs.
'switch' To use switch-ERPs. Default.

Output parameters

'',data structure that contains either HRTFs (id, and Obj) or experimental results including raw and averaged data (rawData,`data`, opional meta information). Statisitcs (stat) and figure handles (fig) are provided if requested.

Requirements:

  1. SOFA API v0.4.3 or higher from http://sourceforge.net/projects/sofacoustics for Matlab (in e.g. thirdparty/SOFA)
  2. Data in hrtf/baumgartner2017looming and auxdata/baumgartner2017looming (downloaded on the fly)
  3. Statistics Toolbox for Matlab (for some fig)

Examples:

To display results of Fig.1B

data_baumgartner2017looming('fig1b','plot');
data_baumgartner2017looming_1_1.png data_baumgartner2017looming_1_2.png data_baumgartner2017looming_1_3.png

To display results of Fig.2

data_baumgartner2017looming('fig2','plot');

This code produces the following output:

Exp. I:
Exp. II:
Subject S09 identified as outlier and removed from further analyses.
data_baumgartner2017looming_2_1.png data_baumgartner2017looming_2_2.png

To display results of Fig.3A

data_baumgartner2017looming('fig3a','plot');
data_baumgartner2017looming_3_1.png

To display results of Fig.3B

data_baumgartner2017looming('fig3b','plot');
data_baumgartner2017looming_4_1.png

References:

R. Baumgartner, D. K. Reed, B. Tóth, V. Best, P. Majdak, H. S. Colburn, and B. Shinn-Cunningham. Asymmetries in behavioral and neural responses to spectral cues demonstrate the generality of auditory looming bias. Proceedings of the National Academy of Sciences, 2017. [ DOI | arXiv | http ]