THE AUDITORY MODELING TOOLBOX

This documentation page applies to an outdated major AMT version. We show it for archival purposes only.
Click here for the documentation menu and here to download the latest AMT (1.6.0).

View the code

Go to function

EXP_JELFS2011 - Figures from Jelfs et al. (2011)

Usage

output = exp_jelfs2011(flag);

Description

exp_jelfs2011 reproduces result from the paper Jelfs et al. (2011).

The following flags can be specified;

'plot' plot the output of the experiment. This is the default.
'noplot' Don't plot, only return data.
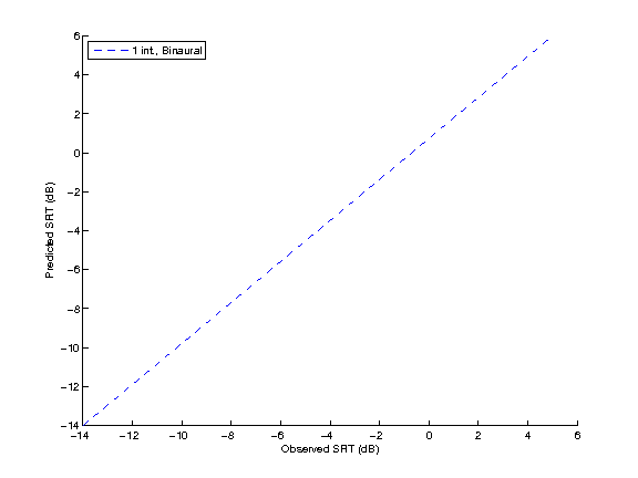
'fig4' Reproduce Fig. 4. The generated data is compared against data from Hawley et at. (2004).

Examples:

To display Figure 4 use

exp_jelfs2011('fig4');

This code produces the following output:

Error: HRTF Data unavailable!
Error: HRTF Data unavailable!
Error: HRTF Data unavailable!
Error: HRTF Data unavailable!
Error: HRTF Data unavailable!
Error: HRTF Data unavailable!
Error: HRTF Data unavailable!
Error: HRTF Data unavailable!
Error: HRTF Data unavailable!
Error: HRTF Data unavailable!
Error: HRTF Data unavailable!
Error: HRTF Data unavailable!
Error: HRTF Data unavailable!
Error: HRTF Data unavailable!
Error: HRTF Data unavailable!
Error: HRTF Data unavailable!
Error: HRTF Data unavailable!
Error: HRTF Data unavailable!
Error: HRTF Data unavailable!
Error: HRTF Data unavailable!
Error: HRTF Data unavailable!
Error: HRTF Data unavailable!
Error: HRTF Data unavailable!
Error: HRTF Data unavailable!
Error: HRTF Data unavailable!
Error: HRTF Data unavailable!
Error: HRTF Data unavailable!
Error: HRTF Data unavailable!
Error: HRTF Data unavailable!
Error: HRTF Data unavailable!
Error: HRTF Data unavailable!
Error: HRTF Data unavailable!
Error: HRTF Data unavailable!
Error: HRTF Data unavailable!
Error: HRTF Data unavailable!
Error: HRTF Data unavailable!
Error: HRTF Data unavailable!
Error: HRTF Data unavailable!
Error: HRTF Data unavailable!
Error: HRTF Data unavailable!
Error: HRTF Data unavailable!
Error: HRTF Data unavailable!
Error: HRTF Data unavailable!
Error: HRTF Data unavailable!
Error: HRTF Data unavailable!
Error: HRTF Data unavailable!
Error: HRTF Data unavailable!
Error: HRTF Data unavailable!
exp_jelfs2011_1_1.png

References:

S. Jelfs, J. Culling, and M. Lavandier. Revision and validation of a binaural model for speech intelligibility in noise. Hearing Research, 2011.

M. Hawley, R. Litovsky, and J. Culling. The benefit of binaural hearing in a cocktail party: Effect of location and type of interferer. J. Acoust. Soc. Am., 115:833-843, 2004.