THE AUDITORY MODELING TOOLBOX

This documentation applies to the most recent AMT version (1.6.0).

View the code

Go to function

EXP_ENGEL2022
Effects of binaural-rendering techniques assessed by various models

Usage:

data = exp_engel2022(flag)

Description:

exp_engel2022(flag) reproduces figures of the study from Engel et al. (2022). This article investigates the effects of various HRTF preprocessing methods for Ambisonics rendering. The effects are assessed by applying a model for sound localization reijniers2014, a model for sound externalization baumgartner2021, and a model for speech reception jelfs2011.

The following flags can be specified:

'fig1' Spherical harmonics spectra
'fig2' Mag/phase errors per spatial order
'fig3' ITD/ILD per spatial order
'fig4' Mag/phase errors per method
'fig5' ITD/ILD per method
'fig6' Loudness per direction
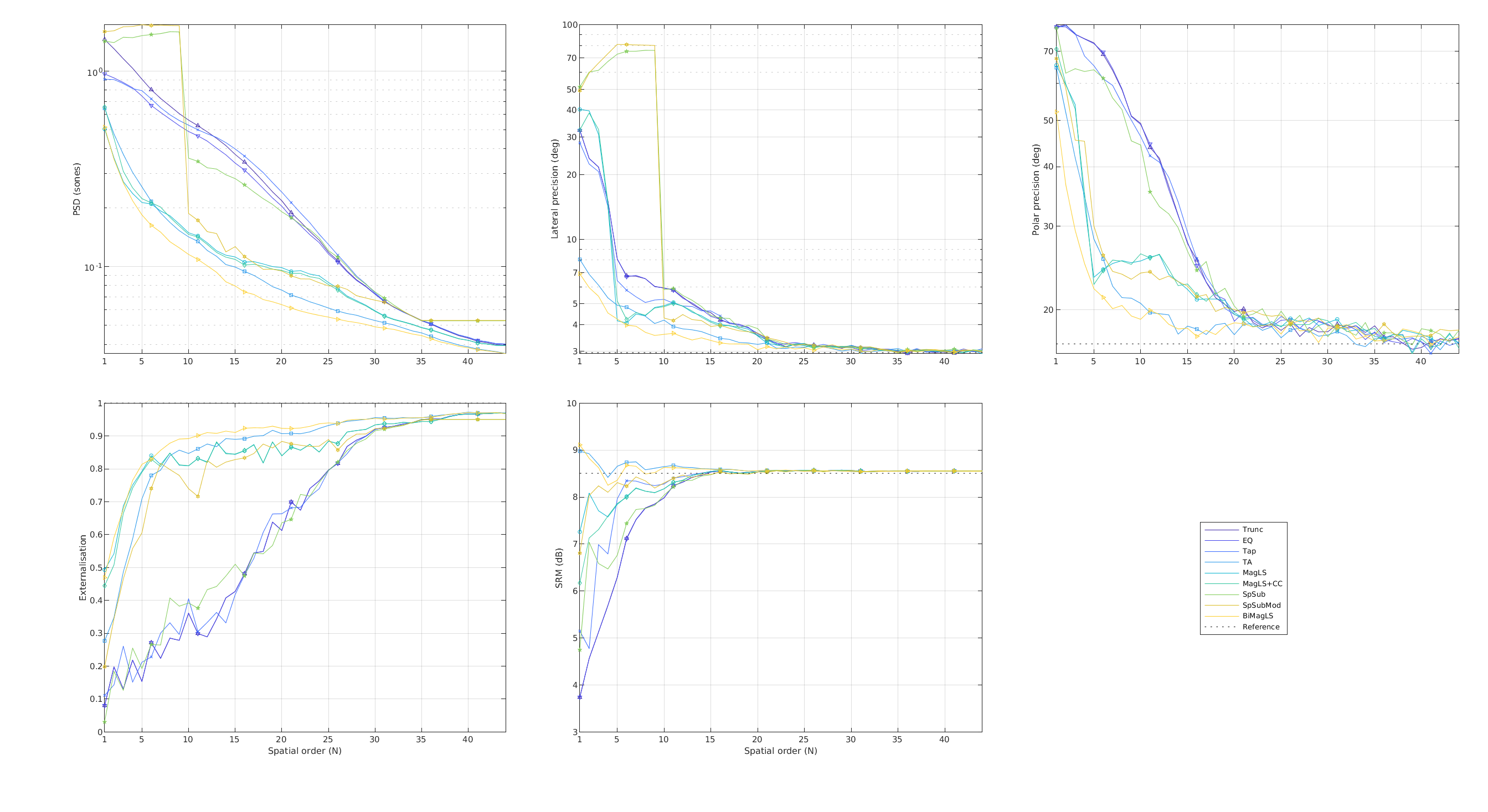
'fig7' Models outputs per spatial order

For the calculations, an HRTF data set will be loaded from auxdata and represented as truncated spherical-harmonics HRTFs. Then, various rendering techniques will be applied and the results will be provided as input to the models.

Warning: The processing of HRTFs does not take a long time to generate (minutes). The model results may take long time to generate (hours). Both, the processed HRTFs and model results are available as cached data.

Examples:

To display Fig.1 use :

exp_engel2022('fig1');
exp_engel2022_1_1.png

To display Fig.2 use :

exp_engel2022('fig2');
exp_engel2022_2_1.png

To display Fig.3 use :

exp_engel2022('fig3');
exp_engel2022_3_1.png
exp_engel2022_3_2.png

To display Fig.4 use :

exp_engel2022('fig4');
exp_engel2022_4_1.png

To display Fig.5 use :

exp_engel2022('fig5');
exp_engel2022_5_1.png
exp_engel2022_5_2.png

To display Fig.6 use :

exp_engel2022('fig6');
exp_engel2022_6_1.png
exp_engel2022_6_2.png

To display Fig.7 use :

exp_engel2022('fig7');
exp_engel2022_7_1.png

References:

Engel, Isaac, Goodman, Dan F. M., and Picinali, Lorenzo. Assessing hrtf preprocessing methods for ambisonics rendering through perceptual models. Acta Acust., 6:4, 2022. [ DOI ]

R. Baumgartner and P. Majdak. Decision making in auditory externalization perception: model predictions for static conditions. Acta Acustica, 5:59, 2021. Publisher: EDP Sciences. [ DOI ]

S. Jelfs, J. Culling, and M. Lavandier. Revision and validation of a binaural model for speech intelligibility in noise. Hearing Research, 2011.

J. Reijniers, D. Vanderleist, C. Jin, C. S., and H. Peremans. An ideal-observer model of human sound localization. Biological Cybernetics, 108:169--181, 2014.