THE AUDITORY MODELING TOOLBOX

This documentation page applies to an outdated AMT version (1.5.0). Click here for the most recent page.

View the code

Go to function

EXP_ZIEGELWANGER2013 - Figures from Ziegelwanger and Majdak (2013)

Usage:

data = exp_ziegelwanger2013(flag)

Description:

exp_ziegelwanger2013(flags) reproduces figures of the paper from Ziegelwanger and Majdak (2013).

Optional fields of output data structure:

The following flags can be specified:

'plot' Plot the output of the experiment. This is the default.
'no_plot' Don't plot, print results in the console.
'cached' Reload previously calculated results. This is the default.
'redo' Recalculate results.
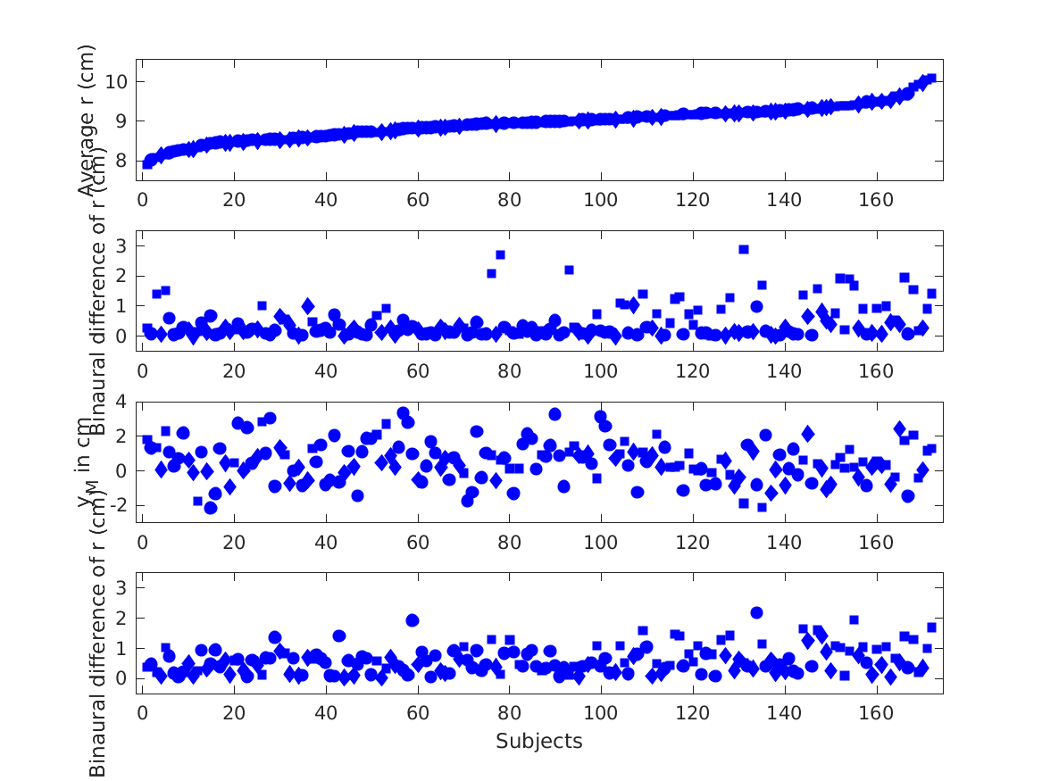
'fig1a' Reproduce Fig. 1 from ziegelwanger2013: Model parameters (sphere radius, sphere center) resulting from fitting the off-axis model to HRTFs of human listeners.
'fig1b'

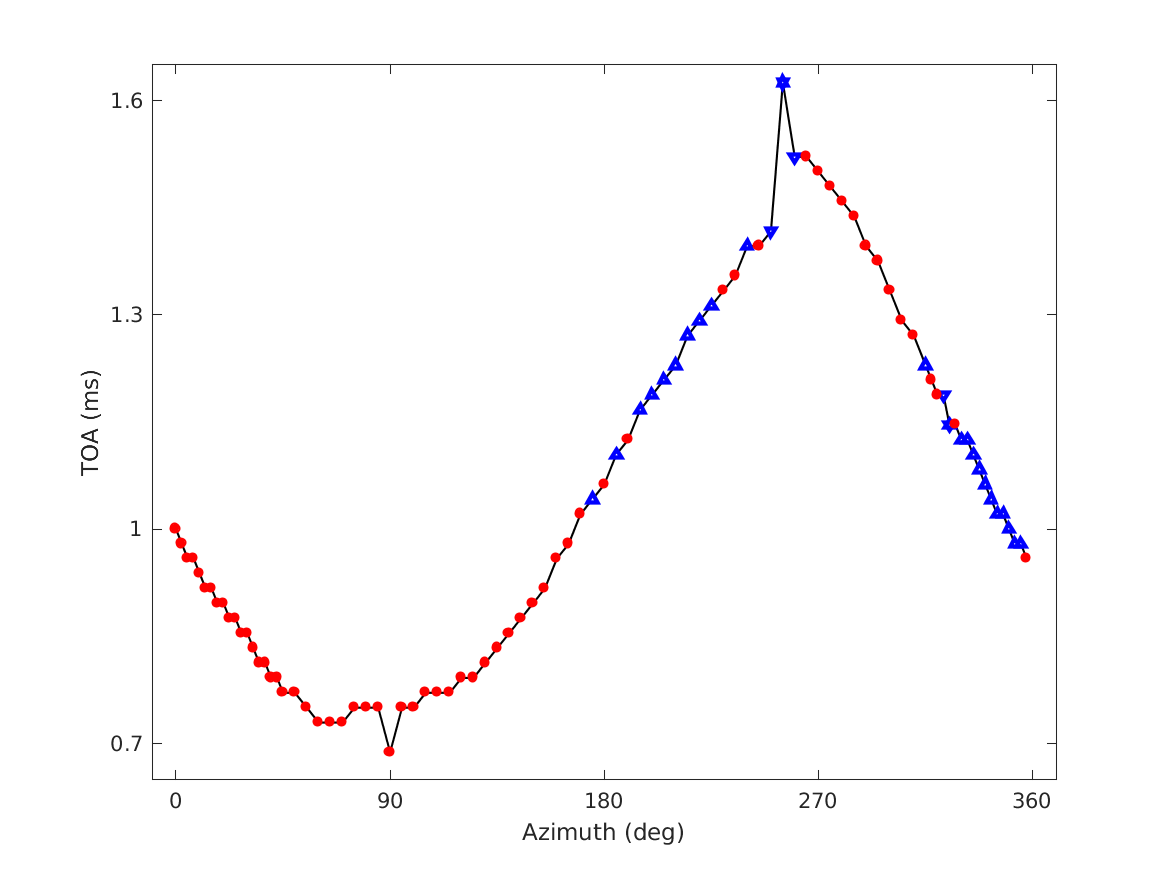
Reproduce Fig. 1 from majdak2013:

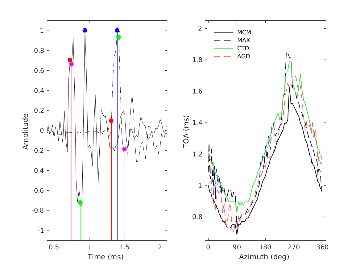
Left panel: Normalized HRIRs of NH89 (ARI database). Sound source was placed 45 deg left in the horizontal plane. Solid line: for the left ear Dashed line: for the right ear Vertical lines: Estimated TOAs Arrows: Resulting ITDs from the corresponding TOAs Circles, Red: Minimum-Phase Cross-Correlation Method Triangle, Green: Time-Position of the HRIR-Maximum Diamonds, Blue: Centroid of the HRIR Squares, Magenta: Average Group Delay (1-5 kHz)

Right panel: Estimated TOAs of NH89 (ARI database) in the horizontal interaural plane. Black: Minimum-Phase Cross-Correlation Method Blue: Time-Position of the HRIR-Maximum Green: Centroid of the HRIR Red: Average Group Delay (1-5 kHz)

'fig2b'

Reproduce Fig. 2 from majdak2013:

Right panel: Estimated TOAs, detected outliers and outlier adjusted set of TOAs for NH89 (ARI database) in the horizontal plane. Line: Estimated TOAs Triangles (down), Blue: Detected outliers for the azimuthal slope criterion Triangles (up), Blue: Detected outliers for the sagittal variance criterion Dots, Red: Outlier-adjusted set

'fig3b'

Reproduce Fig. 3 from majdak2013:

Left panel: Model parameters (sphere radius, ear position) resulting from fitting the on-axis model to HRTFs of a rigid sphere. Squares: for the left ear Diamonds: for the right ear Dashed lines: set values used in the numerical HRTF calculation

Right panel: Model parameters (sphere radius) resulting from fitting the on-axis model to HRTFs of an off-axis placed rigid sphere.

Requirements:

  1. SOFA API from http://sourceforge.net/projects/sofacoustics for Matlab (in e.g. thirdparty/SOFA)
  2. Optimization Toolbox for Matlab
  3. Data in hrtf/ziegelwanger2013

Examples:

To display Fig. 1a, use :

exp_ziegelwanger2013('fig1a');
exp_ziegelwanger2013_1_1.png

To display Fig. 1b, use :

exp_ziegelwanger2013('fig1b');
exp_ziegelwanger2013_2_1.png

This code produces the following output::

Downloading /ziegelwanger2013/ARI_NH89.sofa from http://amtoolbox.org/amt-1.3.0/hrtf
MAX: ITD is 0.4375 ms
CTD: ITD is 0.52083 ms
AGD: ITD is 0.72917 ms
MCM: ITD is 0.5625 ms

To display Fig. 2b, use :

exp_ziegelwanger2013('fig2b');
exp_ziegelwanger2013_3_1.png

To display Fig. 3b, use :

exp_ziegelwanger2013('fig3b');
exp_ziegelwanger2013_4_1.png
exp_ziegelwanger2013_4_2.png

References:

P. Majdak and H. Ziegelwanger. Continuous-direction model of the broadband time-of-arrival in the head-related transfer functions. In ICA 2013 Montreal, volume 19, page 050016, Montreal, Canada, 2013. ASA. [ DOI ]

H. Ziegelwanger and P. Majdak. Modeling the broadband time-of-arrival of the head-related transfer functions for binaural audio. In Proceedings of the 134th Convention of the Audio Engineering Society, page 7, Rome, 2013.