This documentation page applies to an outdated AMT version (1.5.0). Click here for the most recent page.
data = exp_hassager2016(flag)
exp_hassager2016(flag) reproduces figures of the study from Hassager et al. (2016).
Optional fields of output data structure:
| 'contralateralGain' | contralateral gain of binaural weighting function |
The following flags can be specified
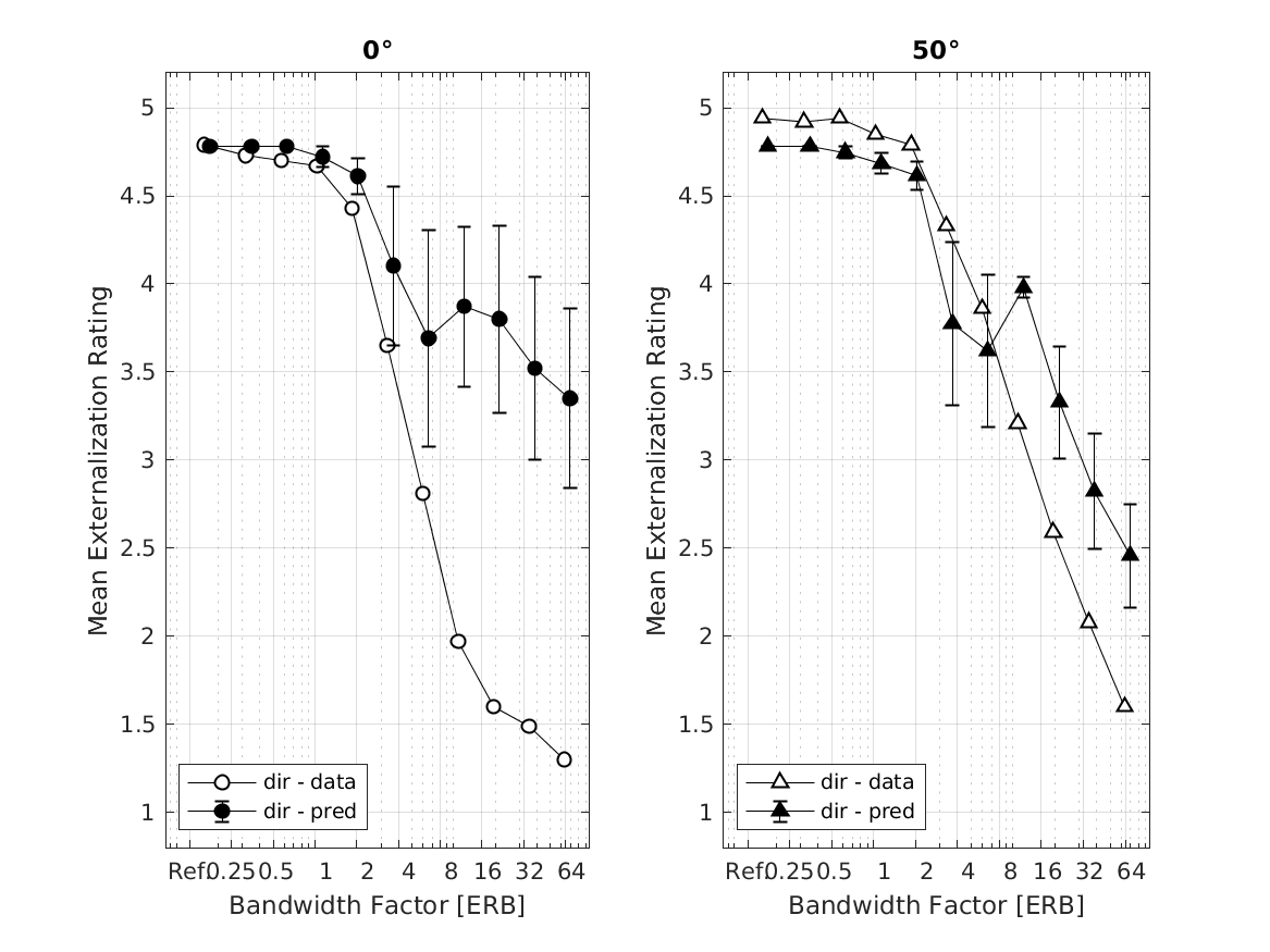
| 'fig6' | Reproduce Fig.6: The mean of the seven listeners' perceived sound source location (open symbols) as a function of the bandwidth factor and the corresponding model predictions (filled symbols). The model predictions have been shifted slightly to the right for a better visual interpretation. The error bars are one standard error of the mean. |
To display Fig.6 use :
exp_hassager2016('fig6');
|
|
H. G. Hassager, F. Gran, and T. Dau. The role of spectral detail in the binaural transfer function on perceived externalization in a reverberant environment. J. Acoust. Soc. Am., 139(5):2992--3000, 2016. [ www: ]