This documentation page applies to an outdated AMT version (1.5.0). Click here for the most recent page.
data = exp_baumgartner2013(flag)
exp_baumgartner2013(flags) reproduces figures of the book chapter from Baumgartner et al. (2013).
Optional fields of output data structure:
| 'id' | listener ID |
| 'u' | listener-specific uncertainty |
| 'dtfs' | matrix containing DTFs. Dimensions: time, position, channel (more details see doc: HRTF format) |
| 'fs' | sampling rate of impulse responses |
| 'pos' | source-position matrix referring to 2nd dimension of hM and formated acc. to meta.pos (ARI format). 6th col is the lateral angle. 7th col is the polar angle. |
| 'spdtfs' | DTFs of specific SPs |
| 'polangs' | polar angles corresponding to data.spdtfs |
| 'pmv' | predicted polar angular response PMVs |
| 'respangs' | polar response angules corresponding to data.p |
| 'pe' | predicted local polar RMS error in degrees |
| 'qe' | predicted quadrant error |
The following flags can be specified:
| 'plot' | Plot the output of the experiment. This is the default. |
| 'no_plot' | Don't plot, only return data. |
| 'fig12' | Reproduce Fig. 12: DTFs of median SP (left ear). Left: NH12. Center: NH58. Right: NH33. Brightness: Spectral magnitude. |
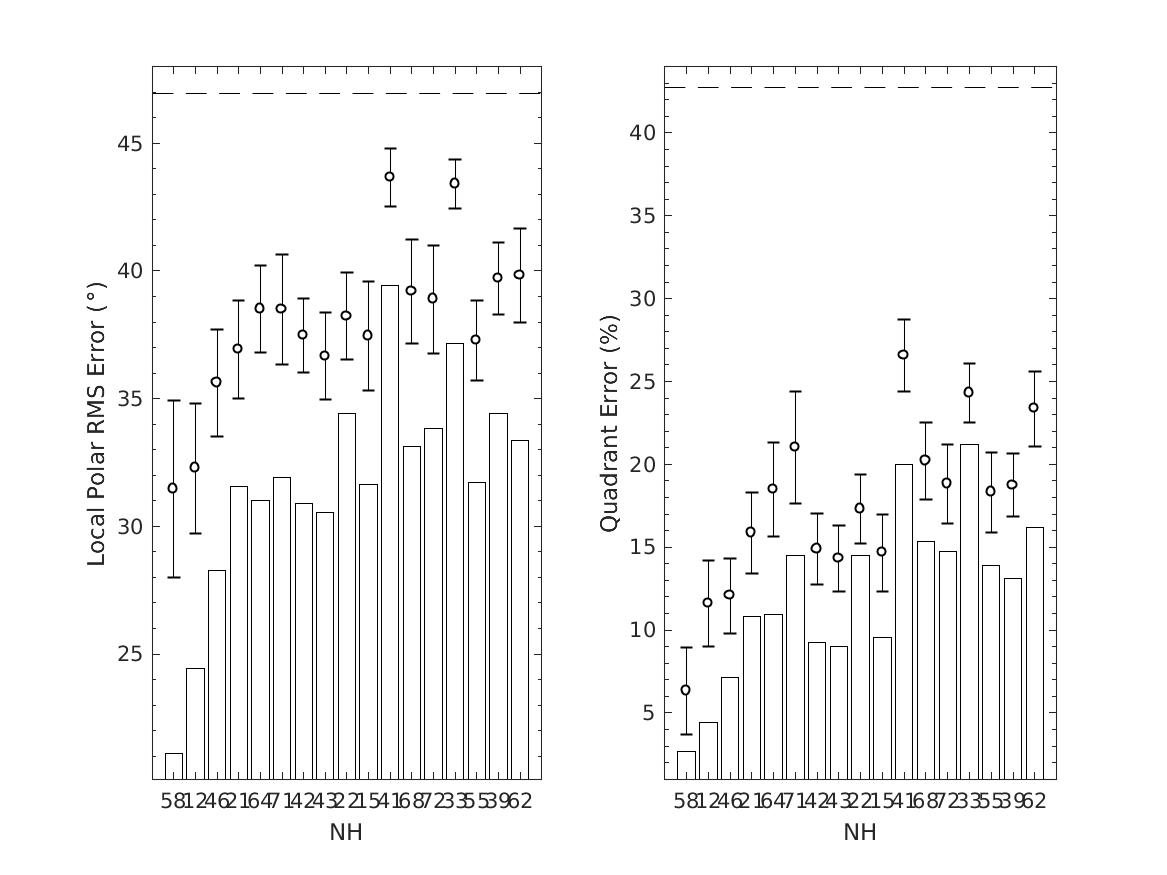
| 'fig13' | Reproduce Fig. 13: Listener's localization performance for non-individualized versus individualized DTFs. Bars: Individualized DTFs. Circles: Non-individualized DTFs averaged over 16 DTF sets. Error bars: ±1 standard deviation of the average. Horizontal line: Chance performance corresponding to guessing the direction of the sound. |
| 'fig14' | Reproduce Fig. 14: Bars: Increase in localization errors when listening to a binaural recording created with the DTFs from NH58. Asterisk: Difference between actual (experiment) and predicted performance when listening to individualized DTFs. Horizontal lines: chance performance corresponding to guessing the direction of the sound. |
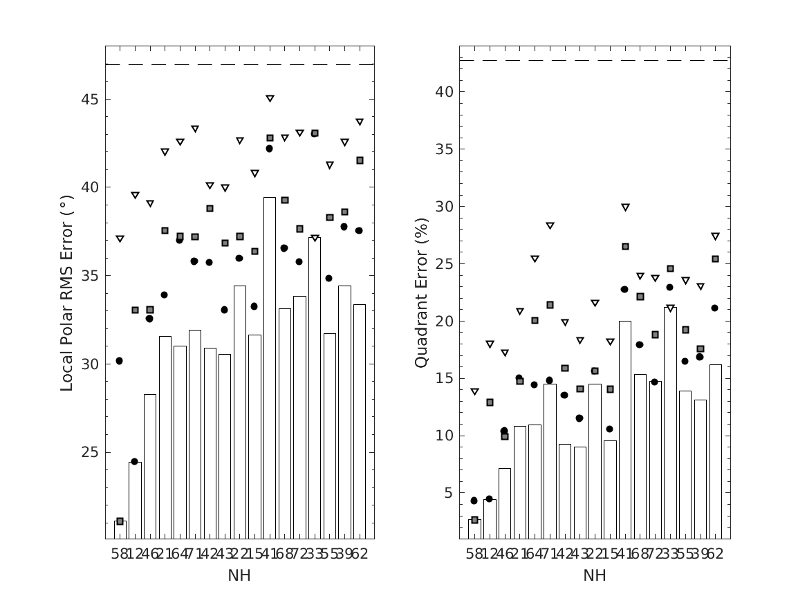
| 'fig15' | Reproduce Fig. 15: Bars: Localization performance of the pool listening to selected DTFs. Circles: DTFs from NH12. Squares: DTFs from NH58. Triangles: DTFs from NH33. |
| 'fig18' | Reproduce Fig. 18: Predicted response probabilities (PMVs) as a function of the amplitude panning ratio between a rear and a front loudspeaker in the same SP (lateral angle: 30 deg.). Left: Results for NH12. Center: Results for NH15. Right: Results for our pool of listeners. Circle: Maximum of a PMV. Panning ratio of 0: Only front loudspeaker active. Panning ratio of 1: Only rear loudspeaker active. |
| 'fig19' | Reproduce Fig. 19: Prediction matrices (PMVs) for different loudspeaker spans and NH12. Left: Span of 0 deg. (single-loudspeaker reproduction, baseline). Center: Span of 30 deg. Right: Span of 60 deg. P: Predicted performance. |
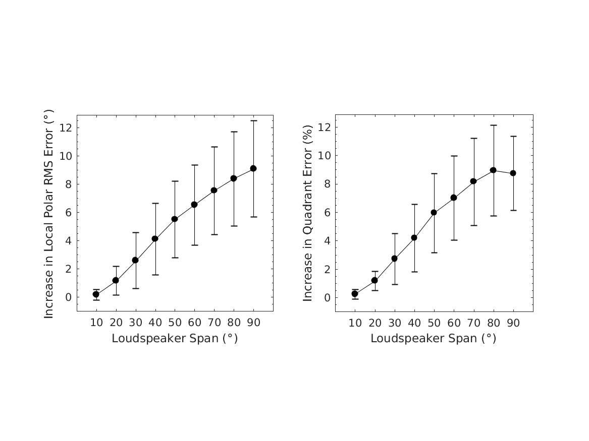
| 'fig20' | Reproduce Fig. 20: Increase in localization errors as a function of the loudspeaker span. Circles: Averages over all listeners from the pool. Error bars: +/- 1 standard deviation of the averages. |
| 'fig22' | Reproduce Fig. 22: Predictions for the surround setups in the VBAP configuration. Left: 5.1 setup, panning between the loudspeakers L and LS. Center: 10.2 setup (DSX), panning from L (polar angle of 0 deg.) via LH2 (55 deg.) to LS (180 deg.) Right: 9.1 setup (Auro-3D), panning from L (0 deg.) via LH1 (34 deg.) and LSH (121 deg.) to LS (180 deg.). Desired polar angle: Continuous scale representing the VBAP across pair-wise contributing loudspeakers. All other conventions as in Fig. 18. |
| 'fig23' | Reproduce Fig. 23: Predictions for two modifications to the 9.1 setup (Auro 3D). Left: Original setup, loudspeakers LS and LSH at the azimuth of 110 deg. Center: LSH at the azimuth of 130 deg. Right: LS and LSH at the azimuth of 130 deg. All other conventions as in Fig. 22. |
To display Fig. 12 use :
exp_baumgartner2013('fig12');
|
|
To display Fig. 13 use :
exp_baumgartner2013('fig13');
|
|
To display Fig. 14 use :
exp_baumgartner2013('fig14');
|
|
To display Fig. 15 use :
exp_baumgartner2013('fig15');
|
|
To display Fig. 18 use :
exp_baumgartner2013('fig18');
|
|
To display Fig. 19 use :
exp_baumgartner2013('fig19');
|
|
To display Fig. 20 use :
exp_baumgartner2013('fig20');
|
|
To display Fig. 22 use :
exp_baumgartner2013('fig22');
|
|
To display Fig. 23 use :
exp_baumgartner2013('fig23');
|
|
R. Baumgartner. Modeling sagittal-plane sound localization with the application to subband-encoded head related transfer functions. Master's thesis, University of Music and Performing Arts, Graz, June 2012. [ .pdf ]
R. Baumgartner, P. Majdak, and B. Laback. Assessment of Sagittal-Plane Sound Localization Performance in Spatial-Audio Applications, chapter 4, pages 93--119. Springer-Verlag GmbH, 2013.