This documentation page applies to an outdated AMT version (1.4.0). Click here for the most recent page.
exp_chen2011(fig) reproduce Fig. no. fig from the Chen et al. 2011 paper.
The following flags can be specified;
| 'fig7' | Reproduce Fig. 7, yields the excitation patterns |
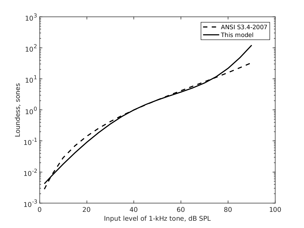
| 'fig9' | Reproduce Fig. 9, contrasting loudness (sones) with input level (dBSPL) |
| 'fig10' | Reproduce Fig. 10, comparing the equal loudness contours from chen2011_loudness with the ISO 2006 standard |
| 'fig11' | Reproduce Fig. 11, displaying loudness as a function of bandwidth |
To display Fig. 7 use
exp_chen2011('fig7');
To display Fig. 9 use
exp_chen2011('fig9');
To display Fig. 10 use
exp_chen2011('fig10');
To display Fig. 11 use
exp_chen2011('fig11');
Z. Chen, G. Hu, B. R. Glasberg, and C. Moore, Brian. A new model for calculating auditory excitation patterns and loudness for cases of cochlear hearing loss. J. Acoust. Soc. Am., 282(1), 2011.