This documentation page applies to an outdated AMT version (1.2.0). Click here for the most recent page.
data = exp_engel2021(flag)
| fig1 | spherical harmonics spectra |
| fig2 | mag/phase errors per spatial order |
| fig3 | ITD/ILD per spatial order |
| fig4 | mag/phase errors per method |
| fig5 | ITD/ILD per method |
| fig6 | loudness per direction |
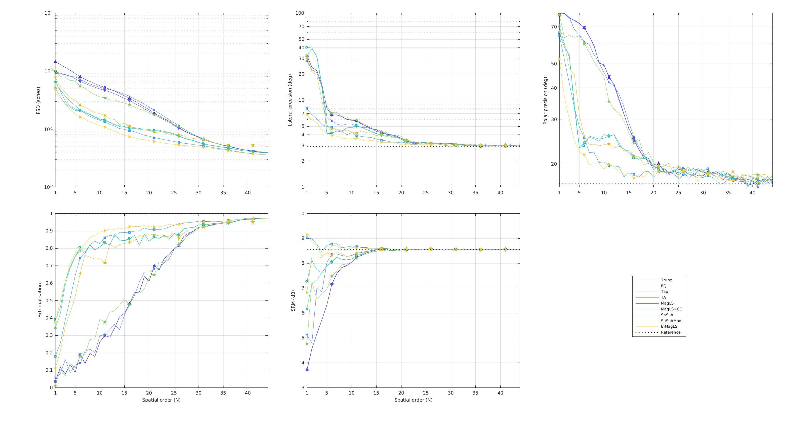
| fig7 | models' outputs per spatial order |
exp_engel2021(flag) reproduces figures of the study from Engel et al. (2021).
This script will look for cached data of hnm and results obtained from running the 3 models baumgartner2021, jelfs2011, and reijniers2014.
If these are not found, the data will be generated from a set of HRTF.
WARNINGS: The HRTF data (hnm) is fairly large (~9GB) and may take several minutes to generate. Most of it is not needed for the plots.
The results data is smaller (~300MB) but may take LONG to generate (it took ~12 hours on a consumer-grade laptop. It is recommended to download it if available online.
To display Fig.1 of Engel(2021) use
exp_engel2021('fig1');
To display Fig.2 of Engel(2021) use
exp_engel2021('fig2');
To display Fig.3 of Engel(2021) use
exp_engel2021('fig3');
To display Fig.4 of Engel(2021) use
exp_engel2021('fig4');
To display Fig.5 of Engel(2021) use
exp_engel2021('fig5');
To display Fig.6 of Engel(2021) use
exp_engel2021('fig6');
To display Fig.7 of Engel(2021) use
exp_engel2021('fig7');