THE AUDITORY MODELING TOOLBOX

This documentation page applies to an outdated major AMT version. We show it for archival purposes only.
Click here for the documentation menu and here to download the latest AMT (1.6.0).

View the code

Go to function

EXP_ROENNE2012 - Figures from Rønne et al. (2012)

Usage

output = exp_roenne2012(flag)

exp_roenne2012(flag) reproduces the results for the figure given by flag from the Rønne et al. (2012) paper. Outputs are the ABR wave V amplitude and latency of all datapoints in that given figure.

The following flags can be specified;

'plot' Plot the specified figure from Rønne et al. (2012). This is the default.
'noplot' Don't plot, only return data.
'plot2' Plot extra figures for all individual simulated points. Note that this creates lots of extra figures (3 for each simulated data point)
'redo' Recalculate the experiment results.
'cached' Use cached results. Default.
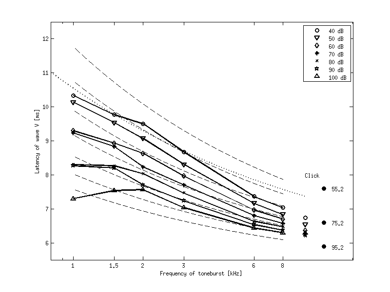
'fig5' Plot Fig. 5 (Rønne et al., 2012). Latency of simulated ABR wave V's compared to Neely et al. (1988) and Harte et al. (2009) reference data.
'fig6' Plot Fig. 6 (Rønne et al., 2012). Amplitude of simulated wave V compared to Elberling et al. (2010) reference data.
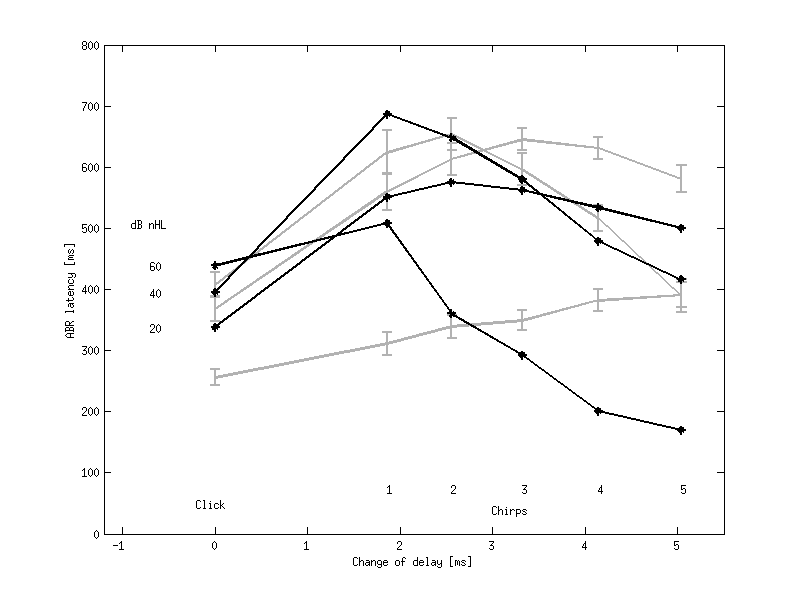
'fig7' Plot Fig. 7 (Rønne et al., 2012). Latency of simulated wave V compared to Elberling et al. (2010) reference data.

Examples:

To display Figure 5 use

exp_roenne2012('fig5');
exp_roenne2012_1_1.png

To display Figure 6 use

exp_roenne2012('fig6');
exp_roenne2012_2_1.png

To display Figure 7 use

exp_roenne2012('fig7');
exp_roenne2012_3_1.png

Please cite Rønne et al. (2012) and Zilany and Bruce (2007) if you use this model.

References:

C. Elberling, J. Calloe, and M. Don. Evaluating auditory brainstem responses to different chirp stimuli at three levels of stimulation. J. Acoust. Soc. Am., 128(1):215-223, 2010.

J. Harte, G. Pigasse, and T. Dau. Comparison of cochlear delay estimates using otoacoustic emissions and auditory brainstem responses. J. Acoust. Soc. Am., 126(3):1291-1301, 2009.

S. Neely, S. Norton, M. Gorga, and J. W. Latency of auditory brain-stem responses and otoacoustic emissions using tone-burst stimuli. J. Acoust. Soc. Am., 83(2):652-656, feb 1988.

F. M. Rønne, T. Dau, J. Harte, and C. Elberling. Modeling auditory evoked brainstem responses to transient stimuli. The Journal of the Acoustical Society of America, 131(5):3903-3913, 2012. [ DOI | http ]