THE AUDITORY MODELING TOOLBOX

This documentation page applies to an outdated major AMT version. We show it for archival purposes only.
Click here for the documentation menu and here to download the latest AMT (1.6.0).

View the code

Go to function

DATA_ELBERLING2010 - ABR wave V data as functon of level and sweeping rate

Usage

data = data_elberling2010(flag)

Output parameters

delay "x-axis" - sweeping rate delay between 710Hz and 5700Hz
data_mean Mean of data
data_std Standard deviation of data

data_elberling2010(flag) returns data points from the Elberling et al. (2010)

The flag may be one of:

'noplot' Don't plot, only return data. This is the default.
'plot' Plot the data.
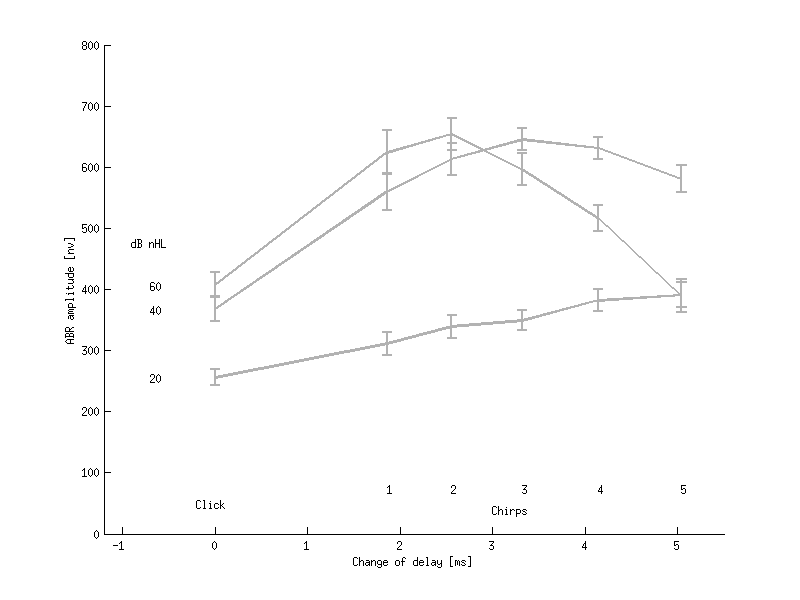
'fig4' Data from Fig. 4, Amplitude of wave V.
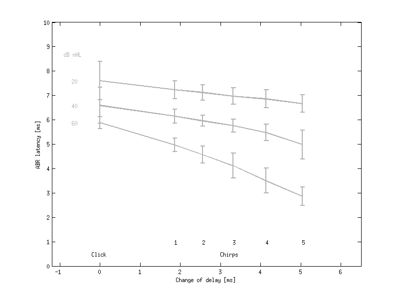
'fig5' Data from Fig. 5, Latency of wave V
'stim' Return the stimulus and the sampling frequency. XXX Describe the data. XXX change 'stim' to figure no., if applicable.

Examples:

Figure 4 can be displayed using:

data_elberling2010('fig4','plot');
data_elberling2010_1_1.png data_elberling2010_1_2.png

Figure 5 can be displayed using:

data_elberling2010('fig5','plot');
data_elberling2010_2_1.png

References:

C. Elberling, J. Calloe, and M. Don. Evaluating auditory brainstem responses to different chirp stimuli at three levels of stimulation. J. Acoust. Soc. Am., 128(1):215-223, 2010.