This documentation page applies to an outdated major AMT version. We show it for archival purposes only.
Click here for the documentation menu and here to download the latest AMT (1.6.0).
output = exp_jelfs2011(flag);
exp_jelfs2011 reproduces result from the paper Jelfs et al. (2011).
The following flags can be specified;
| 'plot' | plot the output of the experiment. This is the default. |
| 'noplot' | Don't plot, only return data. |
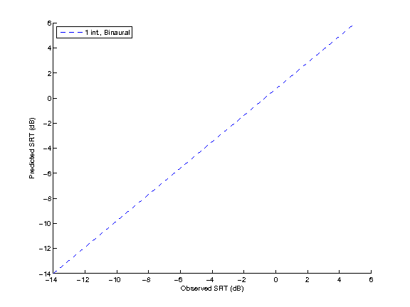
| 'fig4' | Reproduce Fig. 4. The generated data is compared against data from Hawley et at. (2004). |
To display Figure 4 use
exp_jelfs2011('fig4');
This code produces the following output:
Error: HRTF Data unavailable! Error: HRTF Data unavailable! Error: HRTF Data unavailable! Error: HRTF Data unavailable! Error: HRTF Data unavailable! Error: HRTF Data unavailable! Error: HRTF Data unavailable! Error: HRTF Data unavailable! Error: HRTF Data unavailable! Error: HRTF Data unavailable! Error: HRTF Data unavailable! Error: HRTF Data unavailable! Error: HRTF Data unavailable! Error: HRTF Data unavailable! Error: HRTF Data unavailable! Error: HRTF Data unavailable! Error: HRTF Data unavailable! Error: HRTF Data unavailable! Error: HRTF Data unavailable! Error: HRTF Data unavailable! Error: HRTF Data unavailable! Error: HRTF Data unavailable! Error: HRTF Data unavailable! Error: HRTF Data unavailable! Error: HRTF Data unavailable! Error: HRTF Data unavailable! Error: HRTF Data unavailable! Error: HRTF Data unavailable! Error: HRTF Data unavailable! Error: HRTF Data unavailable! Error: HRTF Data unavailable! Error: HRTF Data unavailable! Error: HRTF Data unavailable! Error: HRTF Data unavailable! Error: HRTF Data unavailable! Error: HRTF Data unavailable! Error: HRTF Data unavailable! Error: HRTF Data unavailable! Error: HRTF Data unavailable! Error: HRTF Data unavailable! Error: HRTF Data unavailable! Error: HRTF Data unavailable! Error: HRTF Data unavailable! Error: HRTF Data unavailable! Error: HRTF Data unavailable! Error: HRTF Data unavailable! Error: HRTF Data unavailable! Error: HRTF Data unavailable! [Warning: Ignoring extra legend entries.] [> In legend at 286 In exp_jelfs2011 at 85 In plotexec at 5]
S. Jelfs, J. Culling, and M. Lavandier. Revision and validation of a binaural model for speech intelligibility in noise. Hearing Research, 2011.
M. Hawley, R. Litovsky, and J. Culling. The benefit of binaural hearing in a cocktail party: Effect of location and type of interferer. J. Acoust. Soc. Am., 115:833-843, 2004.