THE AUDITORY MODELING TOOLBOX

This documentation page applies to an outdated major AMT version. We show it for archival purposes only.
Click here for the documentation menu and here to download the latest AMT (1.6.0).

View the code

Go to function

EXP_BAUMGARTNER2020 - - Simulations of Baumgartner and Majdak (2020)

Usage

data = exp_baumgartner2020(flag)

exp_baumgartner2020(flag) reproduces figures of the study from Baumgartner and Majdak (2020).

The following flags can be specified

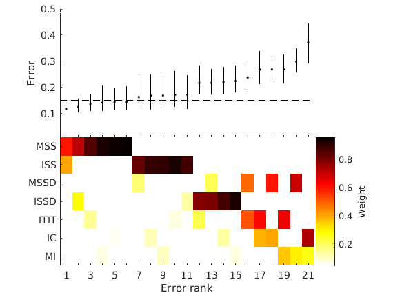
fig2 shows cue-specific predictions, sensitivities, prediction errors,
and optimal relative weights in order to best explain the actual externalization ratings. Oracle: prediction errors obtained with the oracle model.
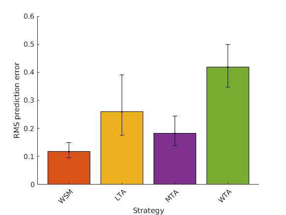
fig3 displays the prediction errors for all decision strategies,
optimal cue weights and results for paired combinations.
hartmann1996 models experiments from Hartmann & Wittenberg (1996; Fig.7-8)
1st panel: Synthesis of zero-ILD signals. Only the harmonics from 1 to nprime had zero interaural level difference; harmonics above nprime retained the amplitudes of the baseline synthesis. Externalization scores as a function of the boundary harmonic number nprime. Fundamental frequency of 125 Hz. 2nd panel: Synthesis of signals to test the ISLD hypothesis. Harmonics at and below the boundary retained only the interaural spectral level differences of the baseline synthesis. Higher harmonics retained left and right baseline harmonic levels. Externalization scores as a function of the boundary frequency.
hassager2016 models experiments from Hassager et al. (2016; Fig.6).
The mean of the seven listeners perceived sound source location (black) as a function of the bandwidth factor and the corresponding model predictions (colored). The model predictions have been shifted slightly to the right for a better visual interpretation. The error bars are one standard error of the mean.
baumgartner2017 models experiments from Baumgartner et al. (2017).
Effect of HRTF spectral contrast manipulations on sound externalization. Externalization scores were derived from paired comparisons via Bradley-Terry-Luce modeling.
boyd2012 models experiments from Boyd et al. (2012; Fig.1, top).
Average externalization ratings of 1 talker for NH participants against mix point as a function of microphone position (ITE/BTE) and frequency response (BB/LP). The reference condition (ref) is the same as ITE/BB. Error bars show SEM.

Requirements:

  1. SOFA API v0.4.3 or higher from http://sourceforge.net/projects/sofacoustics for Matlab (in e.g. thirdparty/SOFA)
  2. Data in hrtf/baumgartner2017
  3. Statistics Toolbox for Matlab (for some of the figures)

Examples:

To display indivdual predictions for all experiments use

exp_baumgartner2020('fig2');

This code produces the following output:

MSS          ISS          MSSD        ISSD          ITIT          IC            MI          Oracle
                     _________    __________    ________    _________    __________    _________    __________    __________

    Exp1_S_cue        0.073828       0.88369    0.021484      0.62119       0.79141    0.0083008     0.0035156           NaN
    Exp1_Error        0.081818      0.011274    0.042295     0.052943     0.0035124    0.0047487      0.012107     0.0036647
    Exp1_Weight              0             0    0.012803            0       0.59117      0.32259      0.073434           NaN
    Exp2_S_cue         0.12051    0.00019531    0.019629    0.0069336    0.00078125    0.0012695    4.8828e-05           NaN
    Exp2_Error       0.0019367      0.063476    0.010901     0.017217     0.0035481    0.0049122      0.046273    0.00029003
    Exp2_Weight       0.019309             0     0.34659     0.032649        0.4388      0.16266             0           NaN
    Exp3_S_cue          0.2293       0.33135     0.12402      0.15986       0.12969     0.035156    0.00026855           NaN
    Exp3_Error       0.0053458     0.0047244    0.088551     0.025814      0.044811      0.13813        0.1971     0.0045675
    Exp3_Weight        0.61553        0.0387           0      0.14921       0.19656            0             0           NaN
    Exp4_S_cue        0.087988        0.4207     0.39395      0.50117      0.023828     0.018164       0.10439           NaN
    Exp4_Error        0.036517      0.081148    0.036857     0.051565       0.13689     0.062149       0.12652      0.023824
    Exp4_Weight        0.50583             0     0.19539            0             0      0.29878             0           NaN
    Exp5_S_cue         0.18057       0.44687    0.054395      0.24404       0.54668      0.36709       0.13701           NaN
    Exp5_Error        0.042443      0.028343     0.10339     0.032469      0.040747     0.050289      0.082399      0.014622
    Exp5_Weight        0.24616       0.29003           0            0             0      0.31167       0.15214           NaN
    W. Avg. S_cue      0.13308       0.41274    0.049147      0.13803       0.39968     0.006618     0.0067398           NaN
    Mean Error        0.033612      0.037793    0.056398     0.036002      0.045902     0.052045       0.09288     0.0093937
    Mean Weight        0.27737      0.065746     0.11096     0.036372        0.2453      0.21914      0.045114           NaN

                                            MSS        ISS        MSSD        ISSD        ITIT        IC          MI       Error_Oracle    Error_WSM    Error_LTA    Error_MTA    Error_WTA    BIC_Oracle    BIC_WSM    BIC_LTA    BIC_MTA    BIC_WTA
                                          _______    _______    ________    ________    ________    _______    ________    ____________    _________    _________    _________    _________    __________    _______    _______    _______    _______

    MSS, ISS, MSSD, ISSD, ITIT, IC, MI    0.36572    0.25879    0.099619    0.011616    0.063761     0.1425    0.057989     0.01712        0.038925     0.027566     0.026456      0.13467     -21.708       -10.492    -28.706     -27.59    -8.8958
    MSS, ISS, MSSD, ISSD, ITIT, IC        0.43434    0.19318    0.079137    0.014125    0.059996    0.21922         NaN    0.012969        0.036479     0.014575     0.022774     0.098714     -26.677        -12.43    -37.278    -30.812    -14.523
    MSS, ISS, ISSD, ITIT, IC              0.43193    0.26696         NaN    0.056932    0.034205    0.20997         NaN    0.015214        0.037527     0.022401     0.017423       0.1208     -30.311       -17.783    -40.846    -40.236    -15.683
    MSS, ISS, ISSD, ITIT                   0.5488    0.26686         NaN    0.063321     0.12102        NaN         NaN    0.016162        0.033983     0.024578      0.01713      0.10514     -34.762       -28.998     -50.46    -42.271    -23.144
    MSS, ISSD, ITIT                       0.67657        NaN         NaN     0.04938     0.27405        NaN         NaN    0.017924         0.03419     0.015429     0.019374     0.056798      -35.67       -32.034    -41.438    -42.666    -26.895
    MSS, ITIT                              0.7248        NaN         NaN         NaN      0.2752        NaN         NaN    0.020831        0.035228     0.013657     0.019573     0.049773     -39.507       -35.934    -48.509      -43.4    -31.274
    MSS                                         1        NaN         NaN         NaN         NaN        NaN         NaN    0.042851        0.042851     0.033612     0.033612     0.033612     -33.543       -33.543    -43.107    -43.107    -43.107

                        MSS          ISS          MSSD        ISSD          ITIT          IC            MI          Oracle
                     _________    __________    ________    _________    __________    _________    __________    __________

    Exp1_S_cue        0.073828       0.88369    0.021484      0.62119       0.79141    0.0083008     0.0035156           NaN
    Exp1_Error        0.081818      0.011274    0.042295     0.052943     0.0035124    0.0047487      0.012107     0.0036647
    Exp1_Weight              0             0    0.012803            0       0.59117      0.32259      0.073434           NaN
    Exp2_S_cue         0.12051    0.00019531    0.019629    0.0069336    0.00078125    0.0012695    4.8828e-05           NaN
    Exp2_Error       0.0019367      0.063476    0.010901     0.017217     0.0035481    0.0049122      0.046273    0.00029003
    Exp2_Weight       0.019309             0     0.34659     0.032649        0.4388      0.16266             0           NaN
    Exp3_S_cue          0.2293       0.33135     0.12402      0.15986       0.12969     0.035156    0.00026855           NaN
    Exp3_Error       0.0053458     0.0047244    0.088551     0.025814      0.044811      0.13813        0.1971     0.0045675
    Exp3_Weight        0.61553        0.0387           0      0.14921       0.19656            0             0           NaN
    Exp4_S_cue        0.087988        0.4207     0.39395      0.50117      0.023828     0.018164       0.10439           NaN
    Exp4_Error        0.036517      0.081148    0.036857     0.051565       0.13689     0.062149       0.12652      0.023824
    Exp4_Weight        0.50583             0     0.19539            0             0      0.29878             0           NaN
    Exp5_S_cue         0.18057       0.44687    0.054395      0.24404       0.54668      0.36709       0.13701           NaN
    Exp5_Error        0.042443      0.028343     0.10339     0.032469      0.040747     0.050289      0.082399      0.014622
    Exp5_Weight        0.24616       0.29003           0            0             0      0.31167       0.15214           NaN
    W. Avg. S_cue      0.13308       0.41274    0.049147      0.13803       0.39968     0.006618     0.0067398           NaN
    Mean Error        0.033612      0.037793    0.056398     0.036002      0.045902     0.052045       0.09288     0.0093937
    Mean Weight        0.27737      0.065746     0.11096     0.036372        0.2453      0.21914      0.045114           NaN

                                            MSS        ISS        MSSD        ISSD        ITIT        IC          MI       Error_Oracle    Error_WSM    Error_LTA    Error_MTA    Error_WTA    BIC_Oracle    BIC_WSM    BIC_LTA    BIC_MTA    BIC_WTA
                                          _______    _______    ________    ________    ________    _______    ________    ____________    _________    _________    _________    _________    __________    _______    _______    _______    _______

    MSS, ISS, MSSD, ISSD, ITIT, IC, MI    0.36572    0.25879    0.099619    0.011616    0.063761     0.1425    0.057989     0.01712        0.038925     0.027566     0.026456      0.13467     -21.708       -10.492    -28.706     -27.59    -8.8958
    MSS, ISS, MSSD, ISSD, ITIT, IC        0.43434    0.19318    0.079137    0.014125    0.059996    0.21922         NaN    0.012969        0.036479     0.014575     0.022774     0.098714     -26.677        -12.43    -37.278    -30.812    -14.523
    MSS, ISS, ISSD, ITIT, IC              0.43193    0.26696         NaN    0.056932    0.034205    0.20997         NaN    0.015214        0.037527     0.022401     0.017423       0.1208     -30.311       -17.783    -40.846    -40.236    -15.683
    MSS, ISS, ISSD, ITIT                   0.5488    0.26686         NaN    0.063321     0.12102        NaN         NaN    0.016162        0.033983     0.024578      0.01713      0.10514     -34.762       -28.998     -50.46    -42.271    -23.144
    MSS, ISSD, ITIT                       0.67657        NaN         NaN     0.04938     0.27405        NaN         NaN    0.017924         0.03419     0.015429     0.019374     0.056798      -35.67       -32.034    -41.438    -42.666    -26.895
    MSS, ITIT                              0.7248        NaN         NaN         NaN      0.2752        NaN         NaN    0.020831        0.035228     0.013657     0.019573     0.049773     -39.507       -35.934    -48.509      -43.4    -31.274
    MSS                                         1        NaN         NaN         NaN         NaN        NaN         NaN    0.042851        0.042851     0.033612     0.033612     0.033612     -33.543       -33.543    -43.107    -43.107    -43.107

hassager2016
                        MSS          ISS          MSSD        ISSD          ITIT          IC            MI          Oracle
                     _________    __________    ________    _________    __________    _________    __________    __________

    Exp1_S_cue        0.073828       0.88369    0.021484      0.62119       0.79141    0.0083008     0.0035156           NaN
    Exp1_Error        0.081818      0.011274    0.042295     0.052943     0.0035124    0.0047487      0.012107     0.0036647
    Exp1_Weight              0             0    0.012803            0       0.59117      0.32259      0.073434           NaN
    Exp2_S_cue         0.12051    0.00019531    0.019629    0.0069336    0.00078125    0.0012695    4.8828e-05           NaN
    Exp2_Error       0.0019367      0.063476    0.010901     0.017217     0.0035481    0.0049122      0.046273    0.00029003
    Exp2_Weight       0.019309             0     0.34659     0.032649        0.4388      0.16266             0           NaN
    Exp3_S_cue          0.2293       0.33135     0.12402      0.15986       0.12969     0.035156    0.00026855           NaN
    Exp3_Error       0.0053458     0.0047244    0.088551     0.025814      0.044811      0.13813        0.1971     0.0045675
    Exp3_Weight        0.61553        0.0387           0      0.14921       0.19656            0             0           NaN
    Exp4_S_cue        0.087988        0.4207     0.39395      0.50117      0.023828     0.018164       0.10439           NaN
    Exp4_Error        0.036517      0.081148    0.036857     0.051565       0.13689     0.062149       0.12652      0.023824
    Exp4_Weight        0.50583             0     0.19539            0             0      0.29878             0           NaN
    Exp5_S_cue         0.18057       0.44687    0.054395      0.24404       0.54668      0.36709       0.13701           NaN
    Exp5_Error        0.042443      0.028343     0.10339     0.032469      0.040747     0.050289      0.082399      0.014622
    Exp5_Weight        0.24616       0.29003           0            0             0      0.31167       0.15214           NaN
    W. Avg. S_cue      0.13308       0.41274    0.049147      0.13803       0.39968     0.006618     0.0067398           NaN
    Mean Error        0.033612      0.037793    0.056398     0.036002      0.045902     0.052045       0.09288     0.0093937
    Mean Weight        0.27737      0.065746     0.11096     0.036372        0.2453      0.21914      0.045114           NaN

                                            MSS        ISS        MSSD        ISSD        ITIT        IC          MI       Error_Oracle    Error_WSM    Error_LTA    Error_MTA    Error_WTA    BIC_Oracle    BIC_WSM    BIC_LTA    BIC_MTA    BIC_WTA
                                          _______    _______    ________    ________    ________    _______    ________    ____________    _________    _________    _________    _________    __________    _______    _______    _______    _______

    MSS, ISS, MSSD, ISSD, ITIT, IC, MI    0.36572    0.25879    0.099619    0.011616    0.063761     0.1425    0.057989     0.01712        0.038925     0.027566     0.026456      0.13467     -21.708       -10.492    -28.706     -27.59    -8.8958
    MSS, ISS, MSSD, ISSD, ITIT, IC        0.43434    0.19318    0.079137    0.014125    0.059996    0.21922         NaN    0.012969        0.036479     0.014575     0.022774     0.098714     -26.677        -12.43    -37.278    -30.812    -14.523
    MSS, ISS, ISSD, ITIT, IC              0.43193    0.26696         NaN    0.056932    0.034205    0.20997         NaN    0.015214        0.037527     0.022401     0.017423       0.1208     -30.311       -17.783    -40.846    -40.236    -15.683
    MSS, ISS, ISSD, ITIT                   0.5488    0.26686         NaN    0.063321     0.12102        NaN         NaN    0.016162        0.033983     0.024578      0.01713      0.10514     -34.762       -28.998     -50.46    -42.271    -23.144
    MSS, ISSD, ITIT                       0.67657        NaN         NaN     0.04938     0.27405        NaN         NaN    0.017924         0.03419     0.015429     0.019374     0.056798      -35.67       -32.034    -41.438    -42.666    -26.895
    MSS, ITIT                              0.7248        NaN         NaN         NaN      0.2752        NaN         NaN    0.020831        0.035228     0.013657     0.019573     0.049773     -39.507       -35.934    -48.509      -43.4    -31.274
    MSS                                         1        NaN         NaN         NaN         NaN        NaN         NaN    0.042851        0.042851     0.033612     0.033612     0.033612     -33.543       -33.543    -43.107    -43.107    -43.107

baumgartner2017
                        MSS          ISS          MSSD        ISSD          ITIT          IC            MI          Oracle
                     _________    __________    ________    _________    __________    _________    __________    __________

    Exp1_S_cue        0.073828       0.88369    0.021484      0.62119       0.79141    0.0083008     0.0035156           NaN
    Exp1_Error        0.081818      0.011274    0.042295     0.052943     0.0035124    0.0047487      0.012107     0.0036647
    Exp1_Weight              0             0    0.012803            0       0.59117      0.32259      0.073434           NaN
    Exp2_S_cue         0.12051    0.00019531    0.019629    0.0069336    0.00078125    0.0012695    4.8828e-05           NaN
    Exp2_Error       0.0019367      0.063476    0.010901     0.017217     0.0035481    0.0049122      0.046273    0.00029003
    Exp2_Weight       0.019309             0     0.34659     0.032649        0.4388      0.16266             0           NaN
    Exp3_S_cue          0.2293       0.33135     0.12402      0.15986       0.12969     0.035156    0.00026855           NaN
    Exp3_Error       0.0053458     0.0047244    0.088551     0.025814      0.044811      0.13813        0.1971     0.0045675
    Exp3_Weight        0.61553        0.0387           0      0.14921       0.19656            0             0           NaN
    Exp4_S_cue        0.087988        0.4207     0.39395      0.50117      0.023828     0.018164       0.10439           NaN
    Exp4_Error        0.036517      0.081148    0.036857     0.051565       0.13689     0.062149       0.12652      0.023824
    Exp4_Weight        0.50583             0     0.19539            0             0      0.29878             0           NaN
    Exp5_S_cue         0.18057       0.44687    0.054395      0.24404       0.54668      0.36709       0.13701           NaN
    Exp5_Error        0.042443      0.028343     0.10339     0.032469      0.040747     0.050289      0.082399      0.014622
    Exp5_Weight        0.24616       0.29003           0            0             0      0.31167       0.15214           NaN
    W. Avg. S_cue      0.13308       0.41274    0.049147      0.13803       0.39968     0.006618     0.0067398           NaN
    Mean Error        0.033612      0.037793    0.056398     0.036002      0.045902     0.052045       0.09288     0.0093937
    Mean Weight        0.27737      0.065746     0.11096     0.036372        0.2453      0.21914      0.045114           NaN

                                            MSS        ISS        MSSD        ISSD        ITIT        IC          MI       Error_Oracle    Error_WSM    Error_LTA    Error_MTA    Error_WTA    BIC_Oracle    BIC_WSM    BIC_LTA    BIC_MTA    BIC_WTA
                                          _______    _______    ________    ________    ________    _______    ________    ____________    _________    _________    _________    _________    __________    _______    _______    _______    _______

    MSS, ISS, MSSD, ISSD, ITIT, IC, MI    0.36572    0.25879    0.099619    0.011616    0.063761     0.1425    0.057989     0.01712        0.038925     0.027566     0.026456      0.13467     -21.708       -10.492    -28.706     -27.59    -8.8958
    MSS, ISS, MSSD, ISSD, ITIT, IC        0.43434    0.19318    0.079137    0.014125    0.059996    0.21922         NaN    0.012969        0.036479     0.014575     0.022774     0.098714     -26.677        -12.43    -37.278    -30.812    -14.523
    MSS, ISS, ISSD, ITIT, IC              0.43193    0.26696         NaN    0.056932    0.034205    0.20997         NaN    0.015214        0.037527     0.022401     0.017423       0.1208     -30.311       -17.783    -40.846    -40.236    -15.683
    MSS, ISS, ISSD, ITIT                   0.5488    0.26686         NaN    0.063321     0.12102        NaN         NaN    0.016162        0.033983     0.024578      0.01713      0.10514     -34.762       -28.998     -50.46    -42.271    -23.144
    MSS, ISSD, ITIT                       0.67657        NaN         NaN     0.04938     0.27405        NaN         NaN    0.017924         0.03419     0.015429     0.019374     0.056798      -35.67       -32.034    -41.438    -42.666    -26.895
    MSS, ITIT                              0.7248        NaN         NaN         NaN      0.2752        NaN         NaN    0.020831        0.035228     0.013657     0.019573     0.049773     -39.507       -35.934    -48.509      -43.4    -31.274
    MSS                                         1        NaN         NaN         NaN         NaN        NaN         NaN    0.042851        0.042851     0.033612     0.033612     0.033612     -33.543       -33.543    -43.107    -43.107    -43.107

boyd2012
                        MSS          ISS          MSSD        ISSD          ITIT          IC            MI          Oracle
                     _________    __________    ________    _________    __________    _________    __________    __________

    Exp1_S_cue        0.073828       0.88369    0.021484      0.62119       0.79141    0.0083008     0.0035156           NaN
    Exp1_Error        0.081818      0.011274    0.042295     0.052943     0.0035124    0.0047487      0.012107     0.0036647
    Exp1_Weight              0             0    0.012803            0       0.59117      0.32259      0.073434           NaN
    Exp2_S_cue         0.12051    0.00019531    0.019629    0.0069336    0.00078125    0.0012695    4.8828e-05           NaN
    Exp2_Error       0.0019367      0.063476    0.010901     0.017217     0.0035481    0.0049122      0.046273    0.00029003
    Exp2_Weight       0.019309             0     0.34659     0.032649        0.4388      0.16266             0           NaN
    Exp3_S_cue          0.2293       0.33135     0.12402      0.15986       0.12969     0.035156    0.00026855           NaN
    Exp3_Error       0.0053458     0.0047244    0.088551     0.025814      0.044811      0.13813        0.1971     0.0045675
    Exp3_Weight        0.61553        0.0387           0      0.14921       0.19656            0             0           NaN
    Exp4_S_cue        0.087988        0.4207     0.39395      0.50117      0.023828     0.018164       0.10439           NaN
    Exp4_Error        0.036517      0.081148    0.036857     0.051565       0.13689     0.062149       0.12652      0.023824
    Exp4_Weight        0.50583             0     0.19539            0             0      0.29878             0           NaN
    Exp5_S_cue         0.18057       0.44687    0.054395      0.24404       0.54668      0.36709       0.13701           NaN
    Exp5_Error        0.042443      0.028343     0.10339     0.032469      0.040747     0.050289      0.082399      0.014622
    Exp5_Weight        0.24616       0.29003           0            0             0      0.31167       0.15214           NaN
    W. Avg. S_cue      0.13308       0.41274    0.049147      0.13803       0.39968     0.006618     0.0067398           NaN
    Mean Error        0.033612      0.037793    0.056398     0.036002      0.045902     0.052045       0.09288     0.0093937
    Mean Weight        0.27737      0.065746     0.11096     0.036372        0.2453      0.21914      0.045114           NaN

                                            MSS        ISS        MSSD        ISSD        ITIT        IC          MI       Error_Oracle    Error_WSM    Error_LTA    Error_MTA    Error_WTA    BIC_Oracle    BIC_WSM    BIC_LTA    BIC_MTA    BIC_WTA
                                          _______    _______    ________    ________    ________    _______    ________    ____________    _________    _________    _________    _________    __________    _______    _______    _______    _______

    MSS, ISS, MSSD, ISSD, ITIT, IC, MI    0.36572    0.25879    0.099619    0.011616    0.063761     0.1425    0.057989     0.01712        0.038925     0.027566     0.026456      0.13467     -21.708       -10.492    -28.706     -27.59    -8.8958
    MSS, ISS, MSSD, ISSD, ITIT, IC        0.43434    0.19318    0.079137    0.014125    0.059996    0.21922         NaN    0.012969        0.036479     0.014575     0.022774     0.098714     -26.677        -12.43    -37.278    -30.812    -14.523
    MSS, ISS, ISSD, ITIT, IC              0.43193    0.26696         NaN    0.056932    0.034205    0.20997         NaN    0.015214        0.037527     0.022401     0.017423       0.1208     -30.311       -17.783    -40.846    -40.236    -15.683
    MSS, ISS, ISSD, ITIT                   0.5488    0.26686         NaN    0.063321     0.12102        NaN         NaN    0.016162        0.033983     0.024578      0.01713      0.10514     -34.762       -28.998     -50.46    -42.271    -23.144
    MSS, ISSD, ITIT                       0.67657        NaN         NaN     0.04938     0.27405        NaN         NaN    0.017924         0.03419     0.015429     0.019374     0.056798      -35.67       -32.034    -41.438    -42.666    -26.895
    MSS, ITIT                              0.7248        NaN         NaN         NaN      0.2752        NaN         NaN    0.020831        0.035228     0.013657     0.019573     0.049773     -39.507       -35.934    -48.509      -43.4    -31.274
    MSS                                         1        NaN         NaN         NaN         NaN        NaN         NaN    0.042851        0.042851     0.033612     0.033612     0.033612     -33.543       -33.543    -43.107    -43.107    -43.107
exp_baumgartner2020_1_1.png exp_baumgartner2020_1_2.png exp_baumgartner2020_1_3.png exp_baumgartner2020_1_4.png exp_baumgartner2020_1_5.png exp_baumgartner2020_1_6.png exp_baumgartner2020_1_7.png exp_baumgartner2020_1_8.png exp_baumgartner2020_1_9.png exp_baumgartner2020_1_10.png

To display results for different decision strategies use

exp_baumgartner2020('fig3');

This code produces the following output:

Prediciton errors for tested decisions:
                                          RMSE_WSM    RMSE_LTA    RMSE_MTA    RMSE_WTA    BIC_WSM    BIC_LTA    BIC_MTA    BIC_WTA
                                          ________    ________    ________    ________    _______    _______    _______    _______

    MSS, ISS, MSSD, ISSD, ITIT, IC, MI    0.11753     0.25907       0.182     0.41852     -175.39    -117.95    -156.08     -66.15
    MSS, ISS, MSSD, ISSD, ITIT, IC        0.11746     0.25919     0.17486     0.34173     -183.43    -121.89    -164.39     -92.03
    MSS, ISS, ISSD, ITIT, IC              0.11746     0.25839     0.16137     0.28421     -191.41    -126.21    -177.05    -115.92
    MSS, ISS, ISSD, ITIT                  0.11746     0.26063     0.16076     0.21793     -199.39    -129.27    -181.45    -148.59
    MSS, ISSD, ITIT                       0.12531     0.27233     0.18663     0.21494     -200.38    -128.51    -169.32    -154.07
    MSS, ITIT                             0.13731     0.28173      0.1829     0.20275     -198.48    -128.84     -175.5    -164.37
    MSS                                    0.1456      0.1456      0.1456      0.1456     -200.12    -204.11    -204.11    -204.11

WSM weights/percentages
                                            MSS        ISS      MSSD      ISSD        ITIT       IC        MI        RMSE        BIC
                                          _______    _______    ____    ________    _________    ___    ________    _______    _______

    MSS, ISS, MSSD, ISSD, ITIT, IC, MI     0.5816    0.33791      0     0.055988    0.0053909      0    0.019103    0.11753    -175.39
    MSS, ISS, MSSD, ISSD, ITIT, IC        0.59493    0.32823      0     0.069774    0.0070735      0         NaN    0.11746    -183.43
    MSS, ISS, ISSD, ITIT, IC              0.59457    0.32888    NaN     0.069538    0.0070146      0         NaN    0.11746    -191.41
    MSS, ISS, ISSD, ITIT                  0.59439    0.32892    NaN     0.069645    0.0070426    NaN         NaN    0.11746    -199.39
    MSS, ISSD, ITIT                       0.70718        NaN    NaN      0.25506     0.037764    NaN         NaN    0.12531    -200.38
    MSS, ITIT                             0.85523        NaN    NaN          NaN      0.14477    NaN         NaN    0.13731    -198.48
    MSS                                         1        NaN    NaN          NaN          NaN    NaN         NaN     0.1456    -200.12

LTA weights/percentages
                                           MSS       ISS       MSSD      ISSD      ITIT       IC        MI       RMSE        BIC
                                          ______    ______    ______    ______    ______    ______    ______    _______    _______

    MSS, ISS, MSSD, ISSD, ITIT, IC, MI    14.815    22.222    3.7037    9.2593    33.333    12.963    3.7037    0.25907    -117.95
    MSS, ISS, MSSD, ISSD, ITIT, IC        12.963    22.222    5.5556    5.5556    40.741    12.963       NaN    0.25919    -121.89
    MSS, ISS, ISSD, ITIT, IC              12.963    31.481       NaN    9.2593    31.481    14.815       NaN    0.25839    -126.21
    MSS, ISS, ISSD, ITIT                  12.963    25.926       NaN    14.815    46.296       NaN       NaN    0.26063    -129.27
    MSS, ISSD, ITIT                        20.37       NaN       NaN    16.667    62.963       NaN       NaN    0.27233    -128.51
    MSS, ITIT                             33.333       NaN       NaN       NaN    66.667       NaN       NaN    0.28173    -128.84
    MSS                                      100       NaN       NaN       NaN       NaN       NaN       NaN     0.1456    -204.11

MTA weights/percentages
                                           MSS       ISS       MSSD      ISSD      ITIT       IC        MI       RMSE        BIC
                                          ______    ______    ______    ______    ______    ______    ______    _______    _______

    MSS, ISS, MSSD, ISSD, ITIT, IC, MI    31.481    3.7037    12.963    24.074    11.111    11.111    5.5556      0.182    -156.08
    MSS, ISS, MSSD, ISSD, ITIT, IC        42.593    12.963    5.5556    31.481         0    7.4074       NaN    0.17486    -164.39
    MSS, ISS, ISSD, ITIT, IC              25.926    16.667       NaN    24.074     20.37    12.963       NaN    0.16137    -177.05
    MSS, ISS, ISSD, ITIT                  33.333    31.481       NaN    33.333    1.8519       NaN       NaN    0.16076    -181.45
    MSS, ISSD, ITIT                       33.333       NaN       NaN        50    16.667       NaN       NaN    0.18663    -169.32
    MSS, ITIT                             64.815       NaN       NaN       NaN    35.185       NaN       NaN     0.1829     -175.5
    MSS                                      100       NaN       NaN       NaN       NaN       NaN       NaN     0.1456    -204.11

WTA weights/percentages
                                           MSS       ISS       MSSD      ISSD      ITIT       IC        MI       RMSE        BIC
                                          ______    ______    ______    ______    ______    ______    ______    _______    _______

    MSS, ISS, MSSD, ISSD, ITIT, IC, MI     20.37    5.5556    14.815    1.8519    1.8519    14.815    40.741    0.41852     -66.15
    MSS, ISS, MSSD, ISSD, ITIT, IC         20.37    3.7037    33.333         0    7.4074    35.185       NaN    0.34173     -92.03
    MSS, ISS, ISSD, ITIT, IC              33.333    12.963       NaN    16.667    12.963    24.074       NaN    0.28421    -115.92
    MSS, ISS, ISSD, ITIT                  53.704    14.815       NaN    16.667    14.815       NaN       NaN    0.21793    -148.59
    MSS, ISSD, ITIT                       61.111       NaN       NaN    27.778    11.111       NaN       NaN    0.21494    -154.07
    MSS, ITIT                             75.926       NaN       NaN       NaN    24.074       NaN       NaN    0.20275    -164.37
    MSS                                      100       NaN       NaN       NaN       NaN       NaN       NaN     0.1456    -204.11

Contributions and Prediction errors:
      MSS        ISS        MSSD       ISSD        ITIT         IC          MI       WSM_RMSE     CI_low     CI_high
    _______    _______    ________    _______    ________    ________    ________    ________    ________    _______

    0.59938    0.40062         NaN        NaN         NaN         NaN         NaN    0.11809     0.095138    0.15122
    0.71892        NaN         NaN    0.28108         NaN         NaN         NaN    0.12576      0.10422    0.15793
    0.85523        NaN         NaN        NaN     0.14477         NaN         NaN    0.13731       0.1094    0.17667
    0.92842        NaN         NaN        NaN         NaN         NaN    0.071582    0.14262        0.109    0.20797
    0.94641        NaN         NaN        NaN         NaN    0.053586         NaN    0.14426      0.11123    0.19873
    0.95871        NaN    0.041292        NaN         NaN         NaN         NaN    0.14507      0.11242    0.20648
        NaN    0.82733     0.17267        NaN         NaN         NaN         NaN    0.16374      0.11605    0.24185
        NaN    0.89015         NaN        NaN         NaN     0.10985         NaN    0.16868      0.11486    0.25048
        NaN    0.90102         NaN        NaN         NaN         NaN    0.098984    0.16893      0.11859    0.24595
        NaN    0.92343         NaN        NaN    0.076571         NaN         NaN    0.17232      0.12501    0.26552
        NaN     0.8758         NaN     0.1242         NaN         NaN         NaN     0.1725      0.11671    0.24754
        NaN        NaN         NaN    0.78826     0.21174         NaN         NaN    0.21719       0.1744    0.28498
        NaN        NaN     0.20616    0.79384         NaN         NaN         NaN    0.21723      0.17219    0.27164
        NaN        NaN         NaN    0.87082         NaN     0.12918         NaN    0.22133      0.17412    0.28127
        NaN        NaN         NaN    0.92908         NaN         NaN    0.070921    0.22443      0.17917    0.28471
        NaN        NaN     0.49042        NaN     0.50958         NaN         NaN    0.23738      0.19129    0.30121
        NaN        NaN         NaN        NaN     0.61042     0.38958         NaN    0.26887      0.21258    0.34104
        NaN        NaN     0.59676        NaN         NaN     0.40324         NaN     0.2692      0.22905    0.32112
        NaN        NaN         NaN        NaN     0.64409         NaN     0.35591    0.26923      0.21321    0.32827
        NaN        NaN     0.69446        NaN         NaN         NaN     0.30554    0.29945      0.25727    0.34987
        NaN        NaN         NaN        NaN         NaN     0.72989     0.27011    0.37203      0.29145    0.44524

Sensitivities:
      MSS        ISS        MSSD       ISSD       ITIT        IC         MI
    _______    _______    ________    _______    _______    _______    _______

    0.20029    0.51084         NaN        NaN        NaN        NaN        NaN
    0.20029        NaN         NaN    0.24854        NaN        NaN        NaN
    0.20029        NaN         NaN        NaN    0.49307        NaN        NaN
    0.20029        NaN         NaN        NaN        NaN        NaN    0.12891
    0.20029        NaN         NaN        NaN        NaN    0.33066        NaN
    0.20029        NaN    0.080273        NaN        NaN        NaN        NaN
        NaN    0.51084    0.080273        NaN        NaN        NaN        NaN
        NaN    0.51084         NaN        NaN        NaN    0.33066        NaN
        NaN    0.51084         NaN        NaN        NaN        NaN    0.12891
        NaN    0.51084         NaN        NaN    0.49307        NaN        NaN
        NaN    0.51084         NaN    0.24854        NaN        NaN        NaN
        NaN        NaN         NaN    0.24854    0.49307        NaN        NaN
        NaN        NaN    0.080273    0.24854        NaN        NaN        NaN
        NaN        NaN         NaN    0.24854        NaN    0.33066        NaN
        NaN        NaN         NaN    0.24854        NaN        NaN    0.12891
        NaN        NaN    0.080273        NaN    0.49307        NaN        NaN
        NaN        NaN         NaN        NaN    0.49307    0.33066        NaN
        NaN        NaN    0.080273        NaN        NaN    0.33066        NaN
        NaN        NaN         NaN        NaN    0.49307        NaN    0.12891
        NaN        NaN    0.080273        NaN        NaN        NaN    0.12891
        NaN        NaN         NaN        NaN        NaN    0.33066    0.12891
exp_baumgartner2020_2_1.png exp_baumgartner2020_2_2.png exp_baumgartner2020_2_3.png exp_baumgartner2020_2_4.png

hassager2016 baumgartner2017looming

References:

R. Baumgartner and P. Majdak. Decision making in auditory externalization perception. bioRxiv, 2020. [ DOI ]

A. W. Boyd, W. M. Whitmer, J. J. Soraghan, and M. A. Akeroyd. Auditory externalization in hearing-impaired listeners: The effect of pinna cues and number of talkers. J. Acoust. Soc. Am., 131(3):EL268--EL274, 2012. [ DOI | arXiv | www: ]

W. M. Hartmann and A. Wittenberg. On the externalization of sound images. J. Acoust. Soc. Am., 99(6):3678--88, June 1996. [ http ]