This documentation page applies to an outdated major AMT version. We show it for archival purposes only.
Click here for the documentation menu and here to download the latest AMT (1.6.0).
data = exp_baumgartner2016(flag)
exp_baumgartner2016(flag) reproduces figures of the study from Baumgartner et al. (2016).
The following flags can be specified
| 'plot' | Plot the output of the experiment. This is the default. |
| 'noplot' | Don't plot, only return data. |
| 'fig2' | or 'ratelevelcurves' Rate-level curves of the three different fiber types represented in the auditory-periphery model. Firing rates were evaluated at a CF of 4 kHz in response to Gaussian white noise at various SPLs. Note that high-SR fibers saturate already at low SPLs, medium-SR fibers at moderate SPLs, and low-SR fibers not at all. |
| 'fig3' | or 'baseline' Correspondence between actual and predicted baseline performance for the 23 normal-hearing listeners after listener-specific calibration of the models sensitivity parameter (S). |
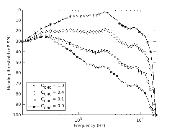
| 'fig4' | or 'tab1 or 'hearingthreshold' Hearing thresholds estimated for simulated OHC gains (COHC) within the range of 1 (normal active cochlea) to 0 (passive cochlea). The selected set of OHC gains results in approximately equal increments of high-frequency thresholds. Table I: Simulated Conditions of OHC Dysfunction, Estimated PTAs, and Corresponding Hearing Loss Categories. |
| 'fig5' | or 'numchan and 'spatstrat' Model evaluation for normal-hearing listeners tested on the effects of spectral resolution (by number of vocoder channels in Goupell et al., 2010) and spectral warping (Majdak, Walder, et al., 2013). Model data (filled circles) are compared with actual data (open circles) from the two studies. Error bars represent SDs. Symbols are slightly shifted along the abscissa for better visibility. BB = broadband noise burst; CL = broadband click train (infinite number of channels); LP = low-pass filtered at 8.5 kHz; W = HRTFs spectrally warped from 2.8 to 16 kHz to 2.8 to 8.5 kHz. |
| 'fig6' | or 'evalSPLtem' Effect of template SPL on predictive power of the model for the two studies (Goupell et al., 2010; Majdak, Walder, et al., 2013) shown in Figure 5. Predictions based on a single template SPL equivalent to the actual SPL of the target sounds of 60 dB result in similar prediction residues as based on templates mixed across a broad range of SPLs. Higher plausibility of the mixed-SPL templates was the reason to choose this representation for all further simulations (including predictions shown in Figure 5). |
| 'fig7' | or 'impairment' Effects of OHC dysfunctions and selective activity of AN fibers on predicted quadrant error rates (top) and local RMS errors (bottom). Thick bar: interquartile range (IQR). Thin bar: data range within 1.5 IQR. Horizontal line within thick bar: average. Dashed horizontal line: chance performance. |
| 'fig8' | or 'sensitivity' Sensitivity (dprime) of AN fibers in level discrimination as function of SPL predicted for different fiber types and OHC dysfunctions. Sensitivities were evaluated for SPL increments of 10 dB and averaged across 28 CFs from 0.7 to 18 kHz. Gray area: stimulus range of target sounds at 60 dB SPL. |
| 'fig9' | or 'effectOnCues' Effect of OHC dysfunction on positive spectral gradients. Exemplary median-plane HRTFs from one listener (NH46). Note the distinct direction-specific patterns for the normal and moderate OHC dysfunctions (COHC>=0.4), which are almost absent in the cases of the severe and complete OHC dysfunctions (COHC<=0.1). |
To display the rate-level curves use
exp_baumgartner2016('fig2');
To display the baseline prediction use
exp_baumgartner2016('fig3');
This code produces the following output:
Corr. QE: 0.88 (p = 0.000), PE: 0.86 (p = 0.000), QE+PE: 0.87
To display estimations of hearing thresholds use
exp_baumgartner2016('fig4');
This code produces the following output:
ans =
3×3 table
PTAlow_Rakerd98 PTAhigh_Rakerd98 PTAhigh_Otte13
_______________ ________________ ______________
C_{OHC} = 0.4 14 17 16
C_{OHC} = 0.1 28 37 37
C_{OHC} = 0.0 37 53 54
To display model evaluation for normal-hearing listeners use
exp_baumgartner2016('fig5');
To display evaluation results for template SPL use
exp_baumgartner2016('fig6');
This code produces the following output:
Predictive power for SpatStrat and NumChan.
To display predicted effects of sensorineural hearing loss use (requires Matlab 2013b or higher)
exp_baumgartner2016('fig7');
This code produces the following output:
Repeated-measures ANOVA for QE
SumSq DF MeanSq F pValue pValueGG pValueHF pValueLB DFGG eta_pSq
__________ ___ __________ ______ __________ __________ __________ __________ ______ _______
(Intercept) 2.9717e+05 1 2.9717e+05 1980.6 4.7542e-23 4.7542e-23 4.7542e-23 4.7542e-23 1 0.98901
Error 3300.8 22 150.04 22 NaN
Cohc 49387 3 16462 716.23 2.8829e-50 3.7676e-28 6.7209e-30 2.8077e-18 1.616 0.9702
Error(Cohc) 1517 66 22.985 35.552 NaN
FT 15716 3 5238.6 369.7 3.4427e-41 1.7544e-17 8.0106e-18 3.0299e-15 1.1718 0.94383
Error(FT) 935.21 66 14.17 25.78 NaN
Cohc:FT 12767 9 1418.6 186.93 1.0138e-91 1.1794e-20 2.9567e-22 3.1227e-12 1.8418 0.8947
Error(Cohc:FT) 1502.6 198 7.5889 40.52 NaN
Mauchly test and sphericity corrections
W ChiStat DF pValue Uncorrected GreenhouseGeisser HuynhFeldt LowerBound
__________ _______ __ __________ ___________ _________________ __________ __________
(Intercept) 1 0 0 0 1 1 1 1
Cohc 0.19701 33.664 5 2.7776e-06 1 0.53866 0.57508 0.33333
FT 0.027246 74.659 5 1.0959e-14 1 0.3906 0.39932 0.33333
Cohc:FT 3.2675e-07 280.71 44 3.1529e-36 1 0.20465 0.22247 0.11111
Posthoc analysis
Cohc_1 Cohc_2 Difference StdErr pValue Lower Upper
______ ______ __________ _______ __________ _______ _______
'0' '0.1' 6.4342 0.80377 3.3845e-07 4.2022 8.6661
'0' '0.4' 23.841 0.83092 3.7904e-09 21.534 26.148
'0' '1' 27.701 1.0184 3.7904e-09 24.873 30.528
'0.1' '0' -6.4342 0.80377 3.3845e-07 -8.6661 -4.2022
'0.1' '0.4' 17.407 0.28874 3.7904e-09 16.605 18.209
'0.1' '1' 21.266 0.55218 3.7904e-09 19.733 22.8
'0.4' '0' -23.841 0.83092 3.7904e-09 -26.148 -21.534
'0.4' '0.1' -17.407 0.28874 3.7904e-09 -18.209 -16.605
'0.4' '1' 3.8595 0.48599 3.8541e-07 2.51 5.209
'1' '0' -27.701 1.0184 3.7904e-09 -30.528 -24.873
'1' '0.1' -21.266 0.55218 3.7904e-09 -22.8 -19.733
'1' '0.4' -3.8595 0.48599 3.8541e-07 -5.209 -2.51
FT_1 FT_2 Difference StdErr pValue Lower Upper
_________ _________ __________ _______ __________ _______ _______
'all SRs' 'high-SR' -2.8216 0.21978 3.8523e-09 -3.4318 -2.2113
'all SRs' 'low-SR' -13.161 0.4505 3.7904e-09 -14.412 -11.91
'all SRs' 'med-SR' 4.6584 0.65783 2.3909e-06 2.8318 6.4851
'high-SR' 'all SRs' 2.8216 0.21978 3.8523e-09 2.2113 3.4318
'high-SR' 'low-SR' -10.34 0.60409 3.7906e-09 -12.017 -8.6624
'high-SR' 'med-SR' 7.48 0.83115 4.9442e-08 5.172 9.788
'low-SR' 'all SRs' 13.161 0.4505 3.7904e-09 11.91 14.412
'low-SR' 'high-SR' 10.34 0.60409 3.7906e-09 8.6624 12.017
'low-SR' 'med-SR' 17.82 0.32941 3.7904e-09 16.905 18.735
'med-SR' 'all SRs' -4.6584 0.65783 2.3909e-06 -6.4851 -2.8318
'med-SR' 'high-SR' -7.48 0.83115 4.9442e-08 -9.788 -5.172
'med-SR' 'low-SR' -17.82 0.32941 3.7904e-09 -18.735 -16.905
Reported in publication:
DFGG F pValueGG eta_pSq
______ ______ __________ _______
Cohc 1.616 716.23 3.7676e-28 0.9702
Error(Cohc) 35.552 1 0.5 NaN
FT 1.1718 369.7 1.7544e-17 0.94383
Error(FT) 25.78 1 0.5 NaN
Cohc:FT 1.8418 186.93 1.1794e-20 0.8947
Error(Cohc:FT) 40.52 1 0.5 NaN
Repeated-measures ANOVA for PE
SumSq DF MeanSq F pValue pValueGG pValueHF pValueLB DFGG eta_pSq
__________ ___ __________ ______ __________ __________ __________ __________ ______ _______
(Intercept) 5.8137e+05 1 5.8137e+05 13170 4.6686e-32 4.6686e-32 4.6686e-32 4.6686e-32 1 0.99833
Error 971.12 22 44.142 22 NaN
Cohc 15614 3 5204.5 609.59 4.9515e-48 3.177e-34 1.1932e-37 1.5657e-17 2.0933 0.96517
Error(Cohc) 563.49 66 8.5377 46.052 NaN
FT 6433.2 3 2144.4 837.99 1.8742e-52 3.5905e-27 1.4765e-28 5.2261e-19 1.4871 0.97442
Error(FT) 168.89 66 2.559 32.715 NaN
Cohc:FT 5401.5 9 600.16 279.14 2.195e-107 1.8427e-28 1.4917e-31 5.5096e-14 2.2336 0.92694
Error(Cohc:FT) 425.72 198 2.1501 49.139 NaN
Mauchly test and sphericity corrections
W ChiStat DF pValue Uncorrected GreenhouseGeisser HuynhFeldt LowerBound
__________ _______ __ __________ ___________ _________________ __________ __________
(Intercept) 1 0 0 0 1 1 1 1
Cohc 0.40803 18.576 5 0.0023051 1 0.69776 0.77269 0.33333
FT 0.064515 56.797 5 5.5695e-11 1 0.49568 0.52328 0.33333
Cohc:FT 2.3963e-06 243.25 44 2.1715e-29 1 0.24817 0.27753 0.11111
Posthoc analysis
Cohc_1 Cohc_2 Difference StdErr pValue Lower Upper
______ ______ __________ _______ __________ _______ _______
'0' '0.1' 2.3515 0.35345 6.1684e-06 1.37 3.333
'0' '0.4' 12.896 0.52137 3.7904e-09 11.449 14.344
'0' '1' 15.107 0.5649 3.7904e-09 13.538 16.676
'0.1' '0' -2.3515 0.35345 6.1684e-06 -3.333 -1.37
'0.1' '0.4' 10.545 0.30247 3.7904e-09 9.7051 11.385
'0.1' '1' 12.755 0.36655 3.7904e-09 11.738 13.773
'0.4' '0' -12.896 0.52137 3.7904e-09 -14.344 -11.449
'0.4' '0.1' -10.545 0.30247 3.7904e-09 -11.385 -9.7051
'0.4' '1' 2.2104 0.41462 0.00013078 1.0591 3.3618
'1' '0' -15.107 0.5649 3.7904e-09 -16.676 -13.538
'1' '0.1' -12.755 0.36655 3.7904e-09 -13.773 -11.738
'1' '0.4' -2.2104 0.41462 0.00013078 -3.3618 -1.0591
FT_1 FT_2 Difference StdErr pValue Lower Upper
_________ _________ __________ ________ __________ _______ _______
'all SRs' 'high-SR' -1.7771 0.076863 3.7904e-09 -1.9905 -1.5637
'all SRs' 'low-SR' -7.1029 0.28905 3.7904e-09 -7.9055 -6.3002
'all SRs' 'med-SR' 4.5767 0.20621 3.7904e-09 4.0041 5.1493
'high-SR' 'all SRs' 1.7771 0.076863 3.7904e-09 1.5637 1.9905
'high-SR' 'low-SR' -5.3258 0.31567 3.7906e-09 -6.2023 -4.4492
'high-SR' 'med-SR' 6.3538 0.25682 3.7904e-09 5.6407 7.0669
'low-SR' 'all SRs' 7.1029 0.28905 3.7904e-09 6.3002 7.9055
'low-SR' 'high-SR' 5.3258 0.31567 3.7906e-09 4.4492 6.2023
'low-SR' 'med-SR' 11.68 0.19025 3.7904e-09 11.151 12.208
'med-SR' 'all SRs' -4.5767 0.20621 3.7904e-09 -5.1493 -4.0041
'med-SR' 'high-SR' -6.3538 0.25682 3.7904e-09 -7.0669 -5.6407
'med-SR' 'low-SR' -11.68 0.19025 3.7904e-09 -12.208 -11.151
Reported in publication:
DFGG F pValueGG eta_pSq
______ ______ __________ _______
Cohc 2.0933 609.59 3.177e-34 0.96517
Error(Cohc) 46.052 1 0.5 NaN
FT 1.4871 837.99 3.5905e-27 0.97442
Error(FT) 32.715 1 0.5 NaN
Cohc:FT 2.2336 279.14 1.8427e-28 0.92694
Error(Cohc:FT) 49.139 1 0.5 NaN
To display sensitivity evaluation for different fiber types use
exp_baumgartner2016('fig8');
This code produces the following output:
Correlation between dprime and quadrant errors:
r: -0.9218
p: 3.8903e-07
Correlation between dprime and local RMS errors:
r: -0.9042
p: 1.5336e-06
To display effect of OHC damage on exemplary spectral cue representation use
exp_baumgartner2016('fig9');
This code produces the following output:
Exemplary listener: NH46
R. Baumgartner, P. Majdak, and B. Laback. Modeling the effects of sensorineural hearing loss on auditory localization in the median plane. Trends in Hearing, 20:1--11, 2016. [ DOI ]
P. Majdak, T. Walder, and B. Laback. Effect of long-term training on sound localization performance with spectrally warped and band-limited head-related transfer functions. J. Acoust. Soc. Am., 134:2148--2159, 2013.
M. J. Goupell, P. Majdak, and B. Laback. Median-plane sound localization as a function of the number of spectral channels using a channel vocoder. J. Acoust. Soc. Am., 127:990--1001, 2010.