This documentation page applies to an outdated major AMT version. We show it for archival purposes only.
Click here for the documentation menu and here to download the latest AMT (1.6.0).
data = data_goode1994_data(flag)
data_goode1994(flag) returns various data from Goode et al. (1994). (See the particular flags for more details on the nature of the data).
The flag may be one of:
| 'noplot' | Don't plot, only return data. This is the default. |
| 'plot' | Plot the data. |
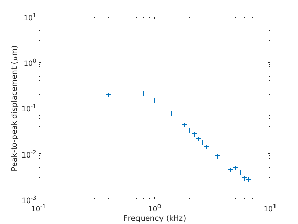
| 'fig1_104' | (default) Returns the stapes footplate diplacement at an SPL of 104 dB as shown in Fig. 1. (Currently the only option). |
To plot the Fig. 1 from Goode et al. (1994) use
data_goode1994('fig1_104','plot');
R. Goode, M. Killion, K. Nakamura, and S. Nishihara. New knowledge about the function of the human middle ear: development of an improved analog model. The American journal of otology, 15(2):145--154, 1994.